Официальное опубликование правовых актов
ОФИЦИАЛЬНОЕ ОПУБЛИКОВАНИЕ
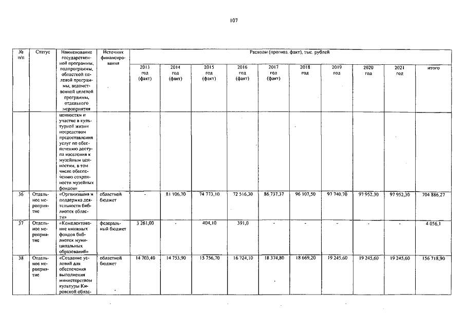
Постановление Правительства Кировской области от 09.11.2018 № 523-П
"О внесении изменений в постановление Правительства Кировской области от 28.12.2012 № 189/834"
Номер опубликования: 4300201811150001
Дата опубликования: 15.11.2018
Страница №108 из 111:
Увеличить