Официальное опубликование правовых актов
ОФИЦИАЛЬНОЕ ОПУБЛИКОВАНИЕ
Постановление Правительства Кировской области от 04.10.2018 № 470-П
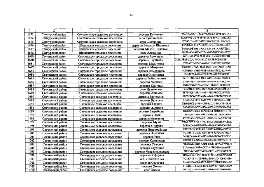
"Об утверждении перечня населенных пунктов Кировской области, в которых отсутствует доступ к информационно-телекоммуникационной сети "Интернет", в том числе точка доступа, определенная в соответствии с Федеральным законом от 07.07.2003 № 126-ФЗ "О связи"
Номер опубликования: 4300201810110004
Дата опубликования: 11.10.2018
Страница №50 из 73:
Увеличить