Официальное опубликование правовых актов
ОФИЦИАЛЬНОЕ ОПУБЛИКОВАНИЕ
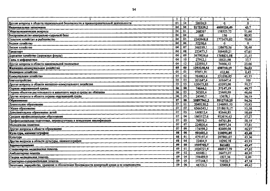
Постановление Правительства Кировской области от 04.09.2017 № 452-П
"Об утверждении отчета об исполнении областного бюджета за первое полугодие 2017 года"
Номер опубликования: 4300201709060001
Дата опубликования: 06.09.2017
Страница №58 из 62:
Увеличить