Официальное опубликование правовых актов
ОФИЦИАЛЬНОЕ ОПУБЛИКОВАНИЕ
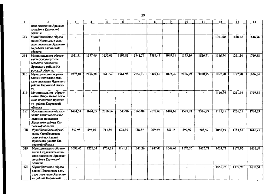
Постановление Правительства Кировской области от 09.06.2017 № 299-П
"Об установлении областного стандарта стоимости жилищно-коммунальных услуг для предоставления субсидий на оплату жилого помещения и коммунальных услуг по муниципальным образованиям области на 2017 год"
Номер опубликования: 4300201706150020
Дата опубликования: 15.06.2017
Страница №41 из 42:
Увеличить