Официальное опубликование правовых актов
ОФИЦИАЛЬНОЕ ОПУБЛИКОВАНИЕ
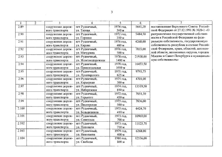
Постановление Правительства Кировской области от 11.08.2015 № 53/502
"О внесении изменений в некоторые постановления Правительства Кировской области"
Номер опубликования: 4300201508180015
Дата опубликования: 18.08.2015
Страница №20 из 30:
Увеличить