Официальное опубликование правовых актов
ОФИЦИАЛЬНОЕ ОПУБЛИКОВАНИЕ
Постановление Региональной энергетической комиссии Кузбасса от 17.02.2026 № 58
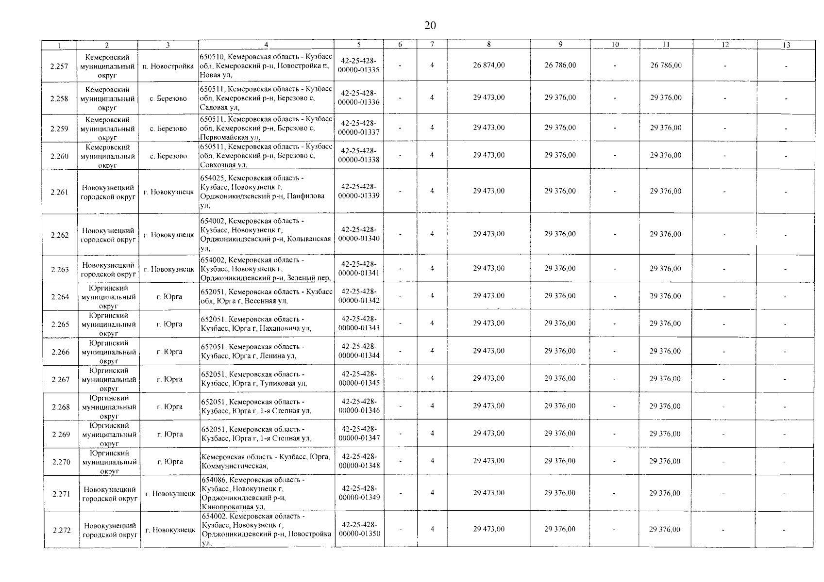
"Об утверждении размера экономически обоснованных расходов на выполнение мероприятий, подлежащих осуществлению в ходе технологического присоединения к газораспределительным сетям ООО "Газпром газораспределение Сибирь" на территории Кемеровской области - Кузбасса за 4 квартал 2025 года"
(Зарегистрирован 18.02.2026 № 18222624224)
Номер опубликования: 4201202602260006
Дата опубликования: 26.02.2026
Страница №20 из 62:
Увеличить