Официальное опубликование правовых актов
ОФИЦИАЛЬНОЕ ОПУБЛИКОВАНИЕ
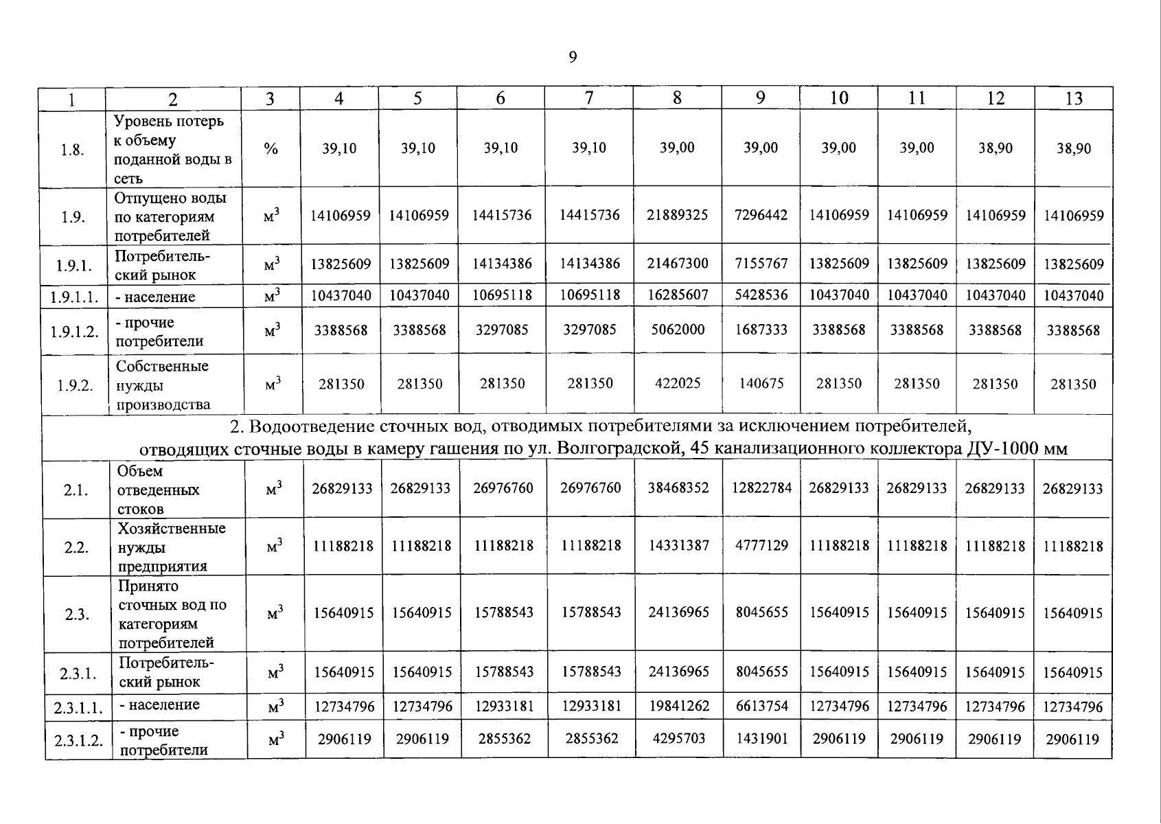
Постановление Региональной энергетической комиссии Кузбасса от 19.12.2025 № 637
"О внесении изменений в постановление Региональной энергетической комиссии Кузбасса от 19.12.2023 № 676 "Об утверждении производственной программы в сфере холодного водоснабжения, водоотведения и об установлении тарифов на питьевую воду, водоотведение ОАО "Северо-Кузбасская энергетическая компания" (Кемеровский городской округ, Кемеровский муниципальный округ)" в части 2026 года"
(Зарегистрирован 20.12.2025 № 14652524224)
Номер опубликования: 4201202512250030
Дата опубликования: 25.12.2025
Страница №9 из 25:
Увеличить