Официальное опубликование правовых актов
ОФИЦИАЛЬНОЕ ОПУБЛИКОВАНИЕ
Постановление Региональной энергетической комиссии Кузбасса от 18.12.2025 № 576
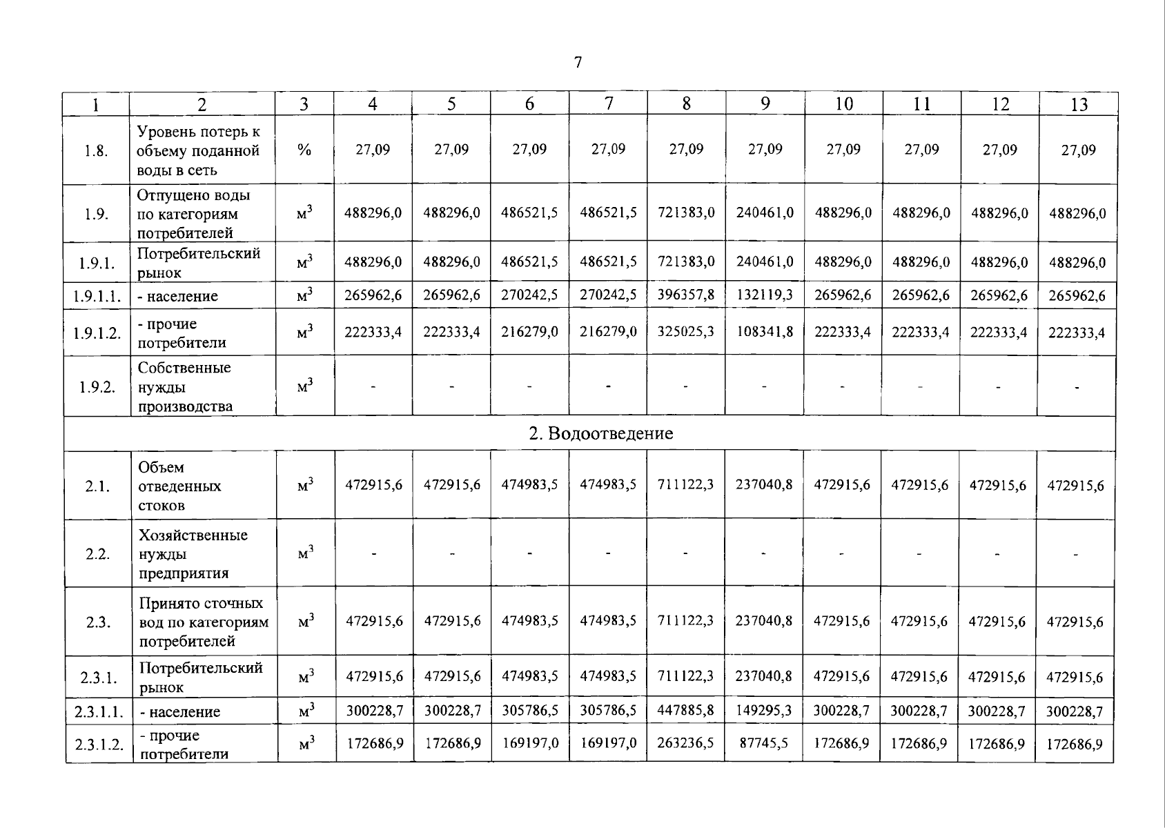
"О внесении изменений в постановление Региональной энергетической комиссии Кузбасса от 30.11.2023 № 473 "Об утверждении производственной программы в сфере холодного водоснабжения питьевой водой, водоотведения и об установлении тарифов на питьевую воду, водоотведение ООО "Энергосервис г. Гурьевска" (Гурьевский муниципальный округ)" в части 2026 года"
(Зарегистрирован 19.12.2025 № 14042524224)
Номер опубликования: 4201202512240062
Дата опубликования: 24.12.2025
Страница №7 из 19:
Увеличить