Официальное опубликование правовых актов
ОФИЦИАЛЬНОЕ ОПУБЛИКОВАНИЕ
Постановление Региональной энергетической комиссии Кузбасса от 18.12.2025 № 585
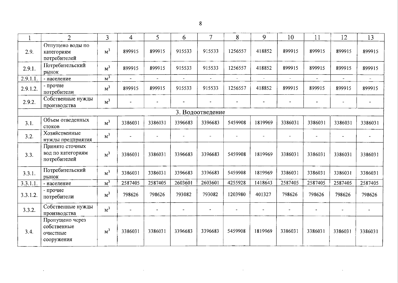
"О внесении изменений в постановление Региональной энергетической комиссии Кузбасса от 05.12.2023 № 486 "Об утверждении производственной программы в сфере холодного водоснабжения питьевой водой, технической водой, водоотведения и об установлении тарифов на питьевую воду, техническую воду, водоотведение АО "ПО Водоканал" (Прокопьевский городской округ)" в части 2026 года"
(Зарегистрирован 19.12.2025 № 14132524224)
Номер опубликования: 4201202512240058
Дата опубликования: 24.12.2025
Страница №8 из 21:
Увеличить