Официальное опубликование правовых актов
ОФИЦИАЛЬНОЕ ОПУБЛИКОВАНИЕ
Постановление Региональной энергетической комиссии Кузбасса от 18.12.2025 № 572
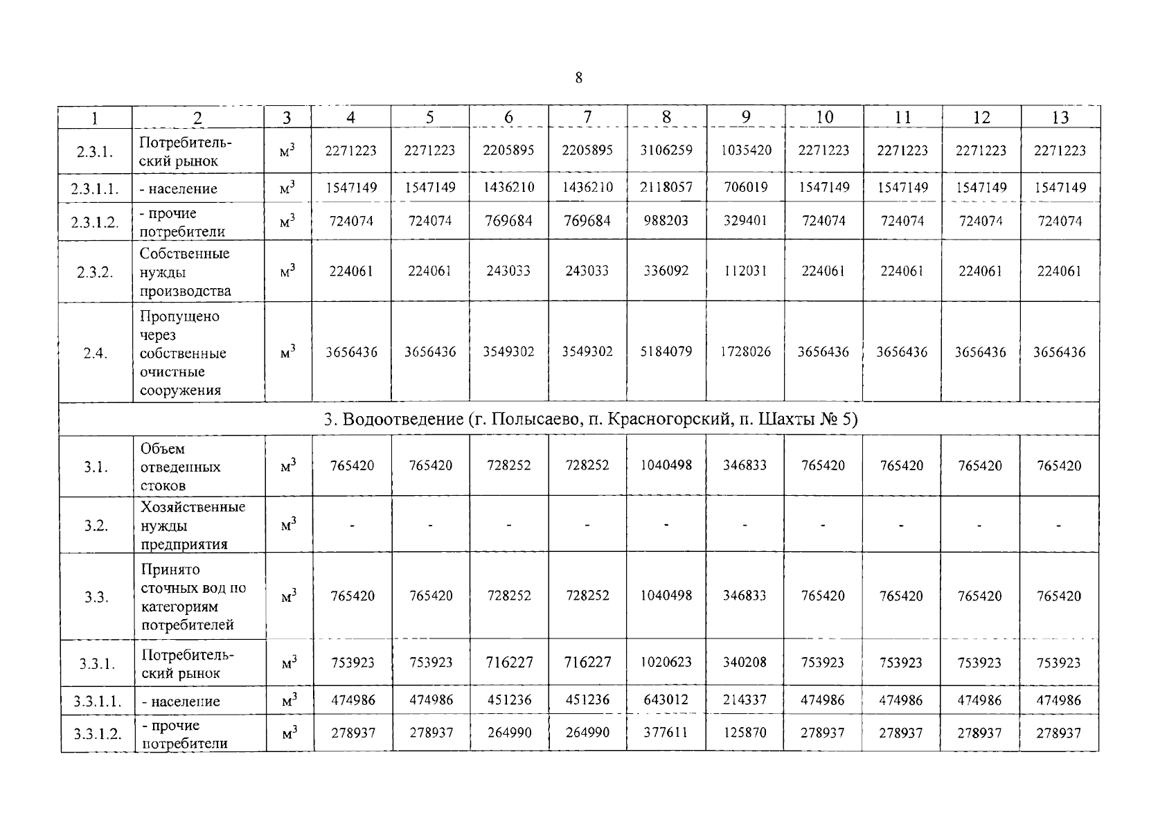
"О внесении изменений в постановление Региональной энергетической комиссии Кузбасса от 28.11.2023 № 409 "Об утверждении производственной программы в сфере холодного водоснабжения питьевой водой, водоотведения и об установлении тарифов на питьевую воду, водоотведение ОАО "Северо-Кузбасская энергетическая компания" (г. Ленинск-Кузнецкий, г. Полысаево, п. Никитинский, п. ст. Индустрия, п. Красногорский, п. Шахты № 5 Ленинск-Кузнецкого муниципального округа)" в части 2026 года"
(Зарегистрирован 19.12.2025 № 14002524224)
Номер опубликования: 4201202512230044
Дата опубликования: 23.12.2025
Страница №8 из 34:
Увеличить