Официальное опубликование правовых актов
ОФИЦИАЛЬНОЕ ОПУБЛИКОВАНИЕ
Постановление Региональной энергетической комиссии Кузбасса от 11.12.2025 № 461
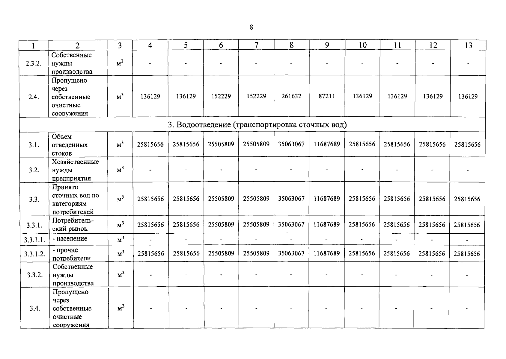
"О внесении изменений в постановление Региональной энергетической комиссии Кузбасса от 26.10.2023 № 216 "Об утверждении производственной программы в сфере холодного водоснабжения, водоотведения и об установлении тарифов на техническую воду, водоотведение хозяйственно-бытовых сточных вод, транспортировку сточных вод КАО "Азот" (Кемеровский городской округ)" в части 2026 года"
(Зарегистрирован 12.12.2025 № 12992524224)
Номер опубликования: 4201202512180003
Дата опубликования: 18.12.2025
Страница №8 из 24:
Увеличить