Официальное опубликование правовых актов
ОФИЦИАЛЬНОЕ ОПУБЛИКОВАНИЕ
Постановление Правительства Кемеровской области - Кузбасса от 16.01.2026 № 8
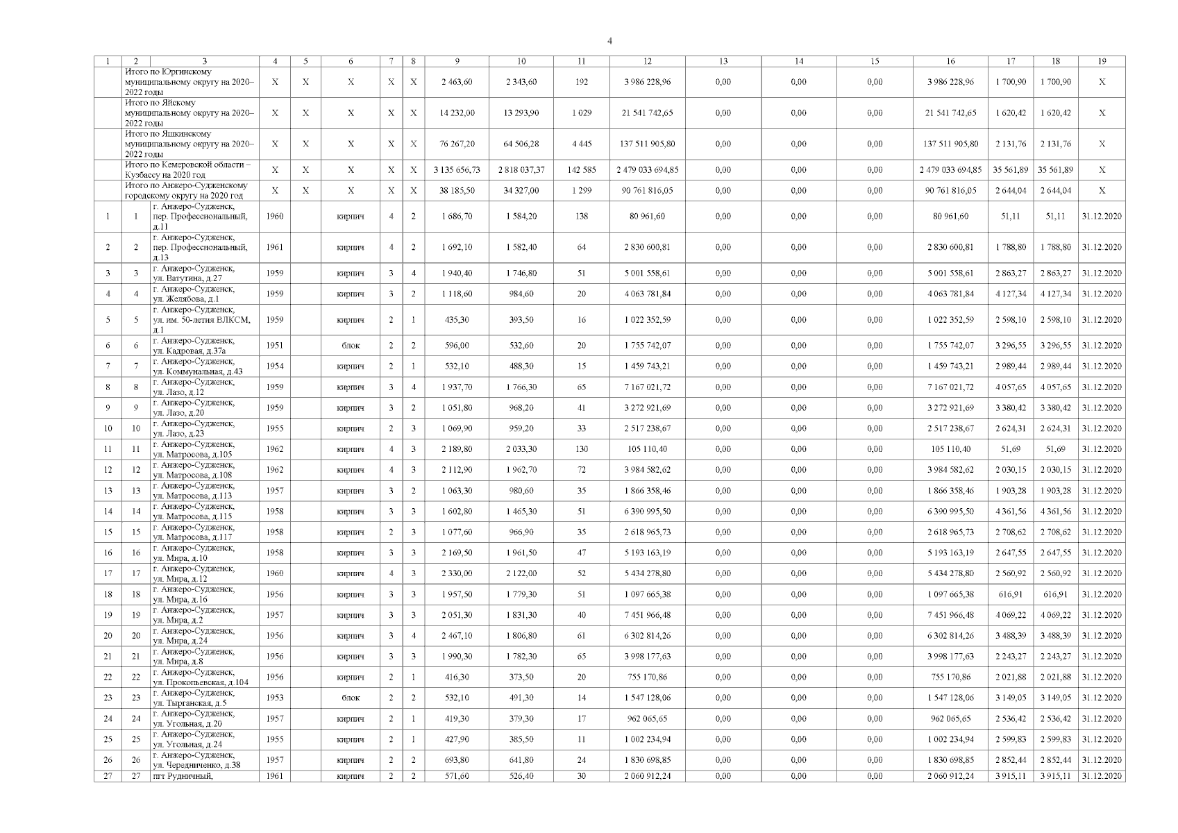
"О внесении изменений в постановление Правительства Кемеровской области — Кузбасса от 28.10.2019 № 625 "Об утверждении краткосрочного плана реализации региональной программы капитального ремонта общего имущества в многоквартирных домах Кемеровской области — Кузбасса на 2020—2022 годы"
Номер опубликования: 4200202601210001
Дата опубликования: 21.01.2026
Страница №4 из 304:
Увеличить