Официальное опубликование правовых актов
ОФИЦИАЛЬНОЕ ОПУБЛИКОВАНИЕ
Постановление Правительства Кемеровской области - Кузбасса от 13.01.2026 № 6
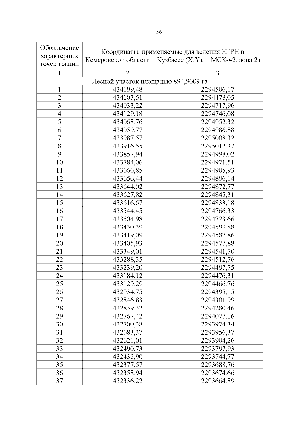
"Об изменении площадей и границ земель, на которых расположены леса, указанные в пункте 3 части 1 статьи 114 Лесного кодекса Российской Федерации, Междуреченского лесничества Кемеровской области — Кузбасса"
Номер опубликования: 4200202601160004
Дата опубликования: 16.01.2026
Страница №56 из 60:
Увеличить