Официальное опубликование правовых актов
ОФИЦИАЛЬНОЕ ОПУБЛИКОВАНИЕ
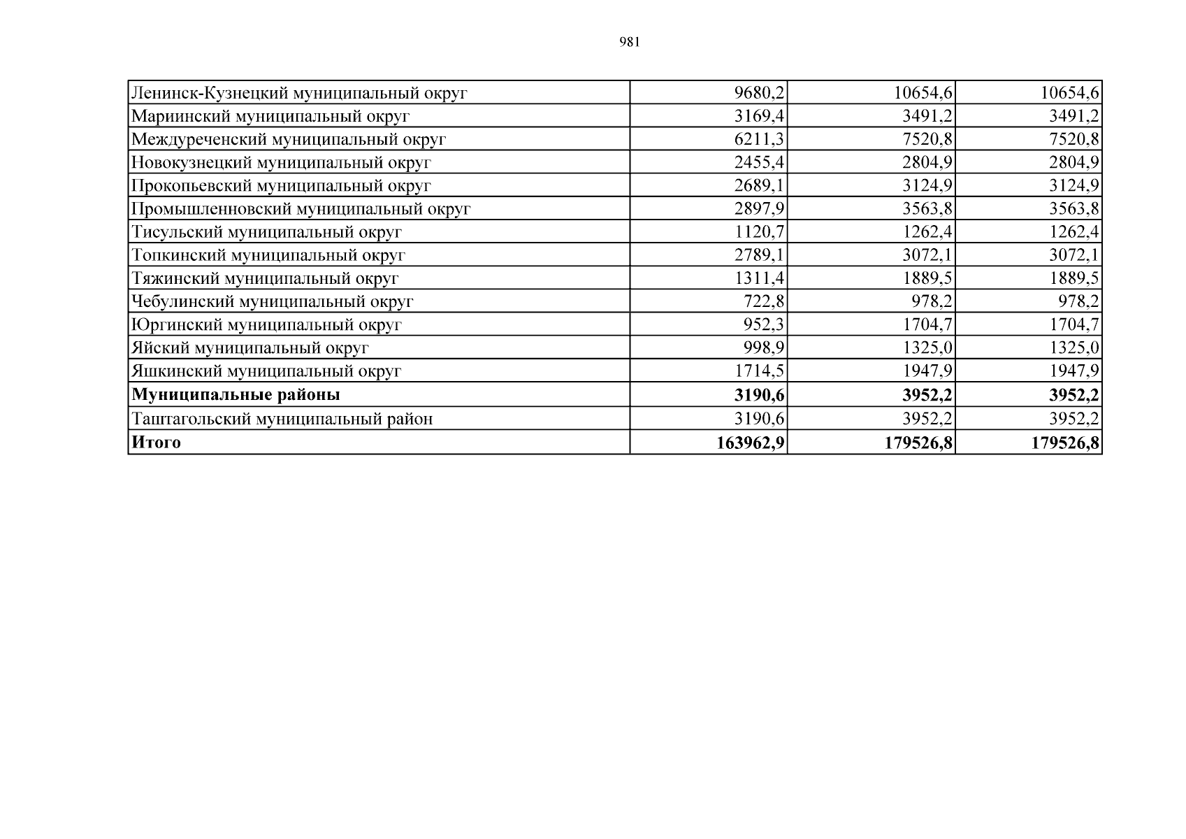
Закон Кемеровской области - Кузбасса от 23.04.2025 № 42-ОЗ
"О внесении изменений в Закон Кемеровской области – Кузбасса "Об областном бюджете на 2025 год и на плановый период 2026 и 2027 годов"
Номер опубликования: 4200202504250001
Дата опубликования: 25.04.2025
Страница №981 из 1025: