Официальное опубликование правовых актов
ОФИЦИАЛЬНОЕ ОПУБЛИКОВАНИЕ
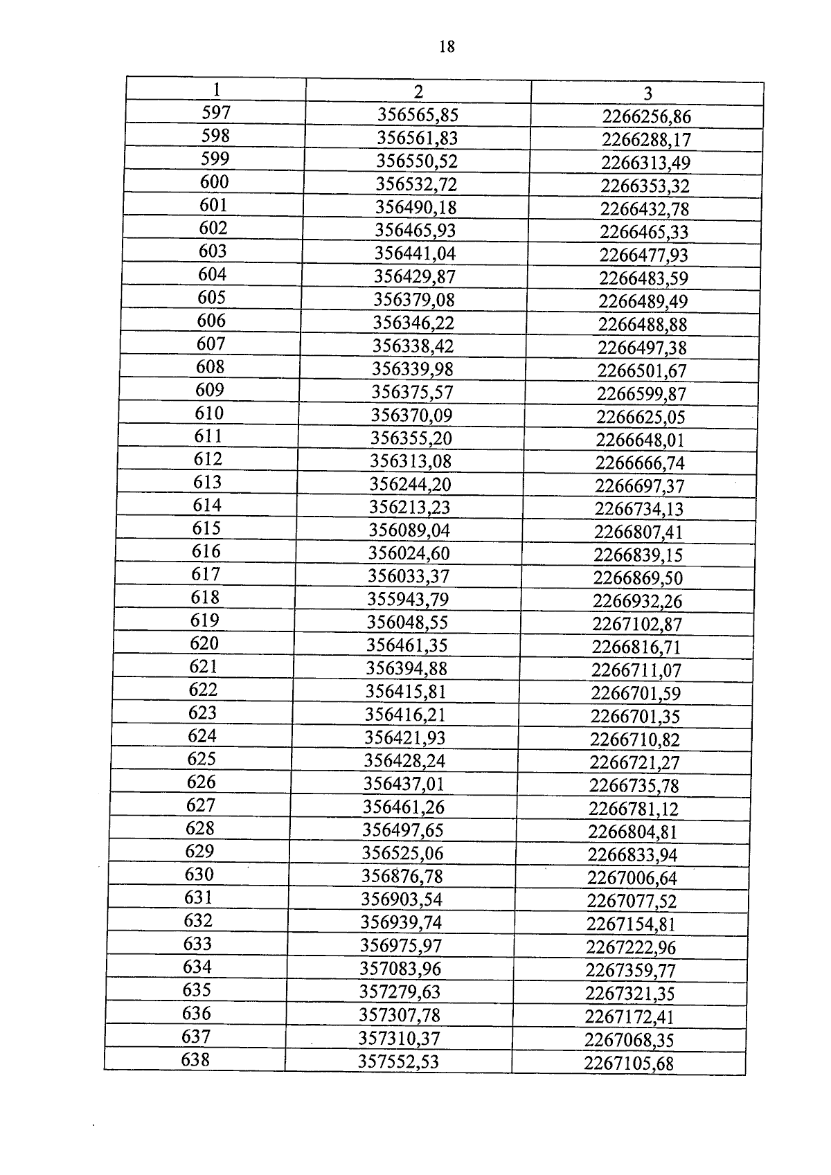
Закон Кемеровской области - Кузбасса от 26.12.2024 № 156-ОЗ
"О внесении изменений в Закон Кемеровской области "О перераспределении отдельных полномочий в области градостроительной деятельности и земельных отношений между органами местного самоуправления Таштагольского муниципального района Кемеровской области – Кузбасса, Шерегешского городского поселения Таштагольского муниципального района Кемеровской области – Кузбасса и органами государственной власти Кемеровской области – Кузбасса"
Номер опубликования: 4200202412270023
Дата опубликования: 27.12.2024
Страница №18 из 20:
Увеличить