Официальное опубликование правовых актов
ОФИЦИАЛЬНОЕ ОПУБЛИКОВАНИЕ
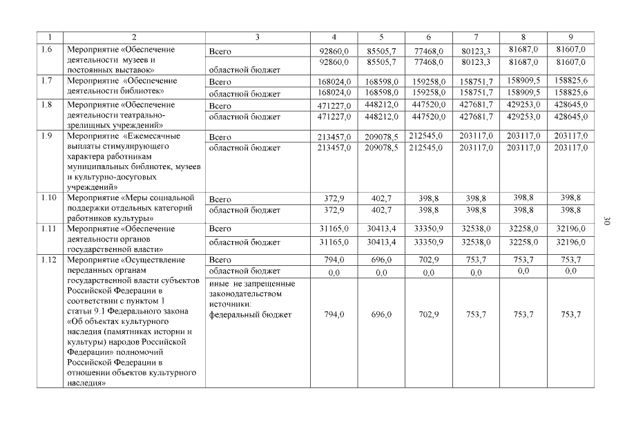
Постановление Коллегии Администрации Кемеровской области от 04.07.2017 № 339
"О внесении изменения в постановление Коллегии Администрации Кемеровской области от 25.10.2013 № 462 "Об утверждении государственной программы Кемеровской области "Культура Кузбасса" на 2014-2019 годы"
Номер опубликования: 4200201707060003
Дата опубликования: 06.07.2017
Страница №30 из 52:
Увеличить