Официальное опубликование правовых актов
ОФИЦИАЛЬНОЕ ОПУБЛИКОВАНИЕ
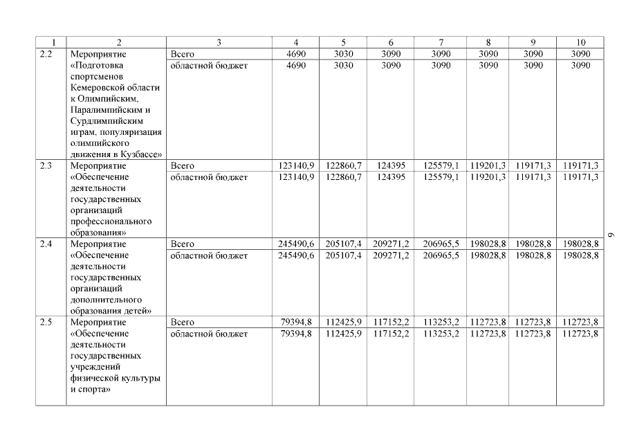
Постановление Коллегии Администрации Кемеровской области от 23.06.2017 № 315
"О внесении изменений в постановление Коллегии Администрации Кемеровской области от 25.10.2013 № 466 "Об утверждении государственной программы Кемеровской области "Молодежь, спорт и туризм Кузбасса" на 2014 - 2020 годы"
Номер опубликования: 4200201706280004
Дата опубликования: 28.06.2017
Страница №6 из 16:
Увеличить