Официальное опубликование правовых актов
ОФИЦИАЛЬНОЕ ОПУБЛИКОВАНИЕ
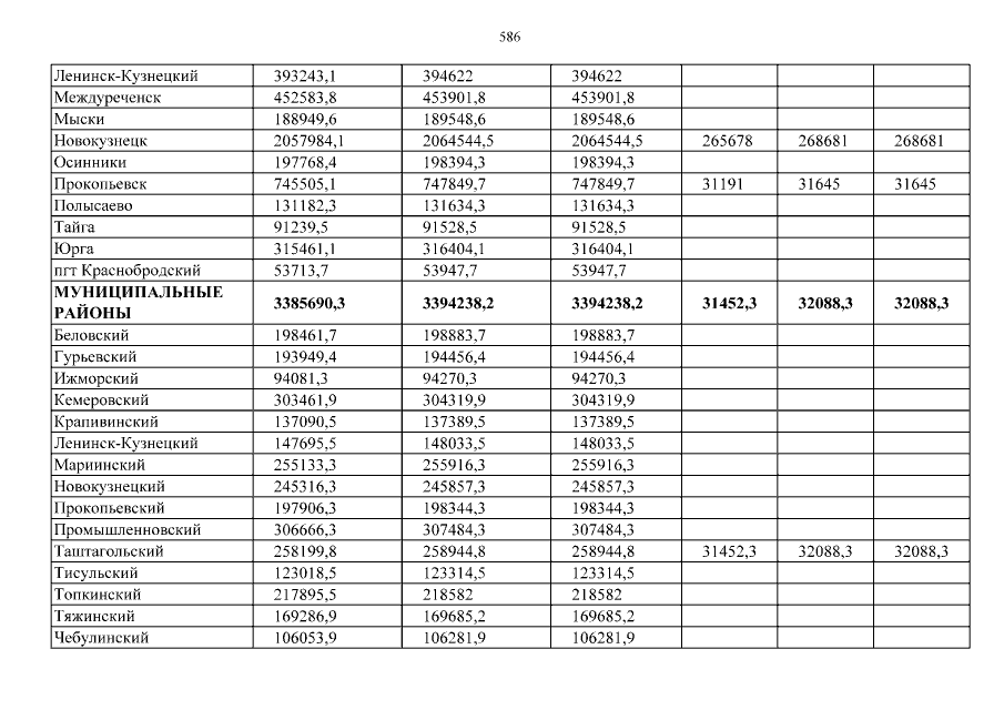
Закон Кемеровской области от 20.12.2016 № 91-ОЗ "Об областном бюджете на 2017 год и на плановый период 2018 и 2019 годов"
Номер опубликования: 4200201612230006
Дата опубликования: 23.12.2016
Страница №586 из 623:
Увеличить