Официальное опубликование правовых актов
ОФИЦИАЛЬНОЕ ОПУБЛИКОВАНИЕ
Постановление Коллегии Администрации Кемеровской области от 01.12.2016 № 482
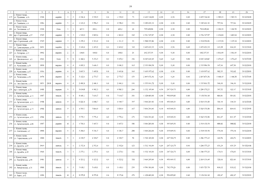
"Об утверждении краткосрочного плана реализации региональной программы капитального ремонта общего имущества в многоквартирных домах Кемеровской области на 2014 - 2043 годы на 2017-2019 годы"
Номер опубликования: 4200201612060004
Дата опубликования: 06.12.2016
Страница №39 из 141:
Увеличить