Официальное опубликование правовых актов
ОФИЦИАЛЬНОЕ ОПУБЛИКОВАНИЕ
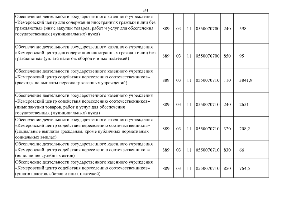
Закон Кемеровской области от 24.10.2016 № 75-ОЗ "О внесении изменений в Закон Кемеровской области "Об областном бюджете на 2016 год"
Номер опубликования: 4200201610270005
Дата опубликования: 27.10.2016
Страница №241 из 394:
Увеличить