Официальное опубликование правовых актов
ОФИЦИАЛЬНОЕ ОПУБЛИКОВАНИЕ
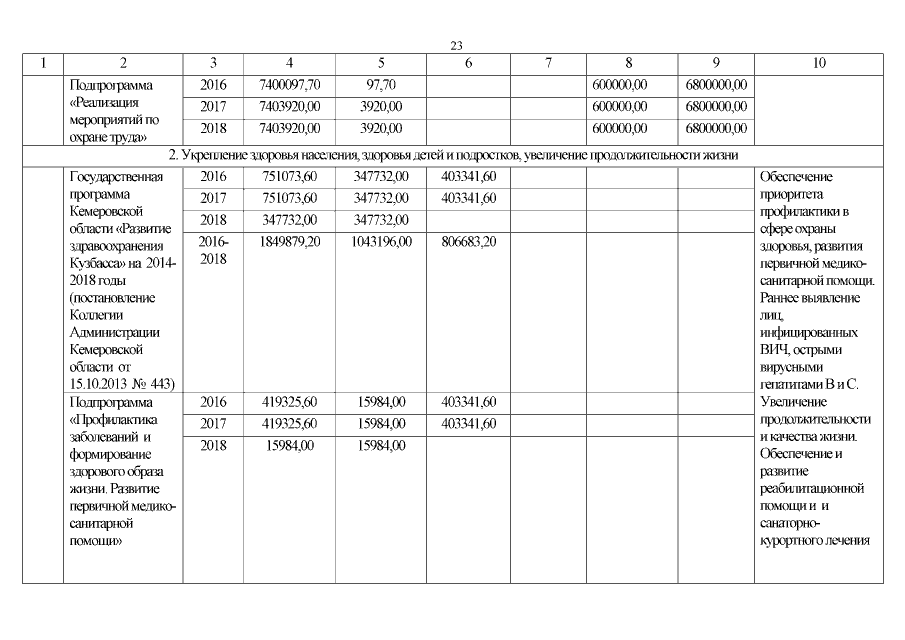
Постановление Коллегии Администрации Кемеровской области от 29.06.2016 № 262
"Об утверждении комплексной региональной программы "Улучшение демографической ситуации в Кемеровской области" на 2016-2018 годы"
Номер опубликования: 4200201607040008
Дата опубликования: 04.07.2016
Страница №23 из 37:
Увеличить