Официальное опубликование правовых актов
ОФИЦИАЛЬНОЕ ОПУБЛИКОВАНИЕ
Постановление Коллегии Администрации Кемеровской области от 06.06.2016 № 220
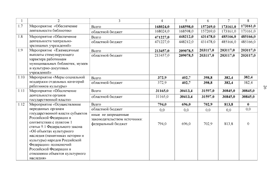
"О внесении изменений в постановление Коллегии Администрации Кемеровской области от 25.10.2013 № 462 "Об утверждении государственной программы Кемеровской области "Культура Кузбасса" на 2014-2018 годы"
Номер опубликования: 4200201606090009
Дата опубликования: 09.06.2016
Страница №26 из 44:
Увеличить