Официальное опубликование правовых актов
ОФИЦИАЛЬНОЕ ОПУБЛИКОВАНИЕ
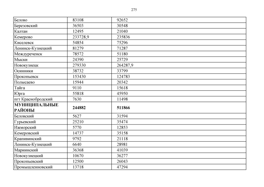
Закон Кемеровской области от 05.05.2016 № 29-ОЗ
"О внесении изменений в Закон Кемеровской области"Об областном бюджете на 2016 год"
Номер опубликования: 4200201605120001
Дата опубликования: 12.05.2016
Страница №275 из 324:
Увеличить