Официальное опубликование правовых актов
ОФИЦИАЛЬНОЕ ОПУБЛИКОВАНИЕ
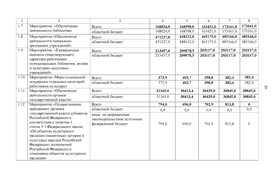
Постановление Коллегии Администрации Кемеровской области от 30.12.2015 № 456
"О внесении изменений в постановление Коллегии Администрации Кемеровской области от 25.10.2013 № 462 "Об утверждении государственной программы Кемеровской области "Культура Кузбасса" на 2014-2018 годы"
Номер опубликования: 4200201601040004
Дата опубликования: 04.01.2016
Страница №26 из 44:
Увеличить