Официальное опубликование правовых актов
ОФИЦИАЛЬНОЕ ОПУБЛИКОВАНИЕ
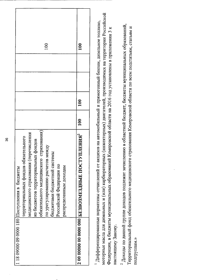
Закон Кемеровской области от 28.12.2015 № 132-ОЗ
"О внесении изменений в некоторые законодательные акты Кемеровской области"
Номер опубликования: 4200201512300003
Дата опубликования: 30.12.2015
Страница №36 из 36:
Увеличить