Официальное опубликование правовых актов
ОФИЦИАЛЬНОЕ ОПУБЛИКОВАНИЕ
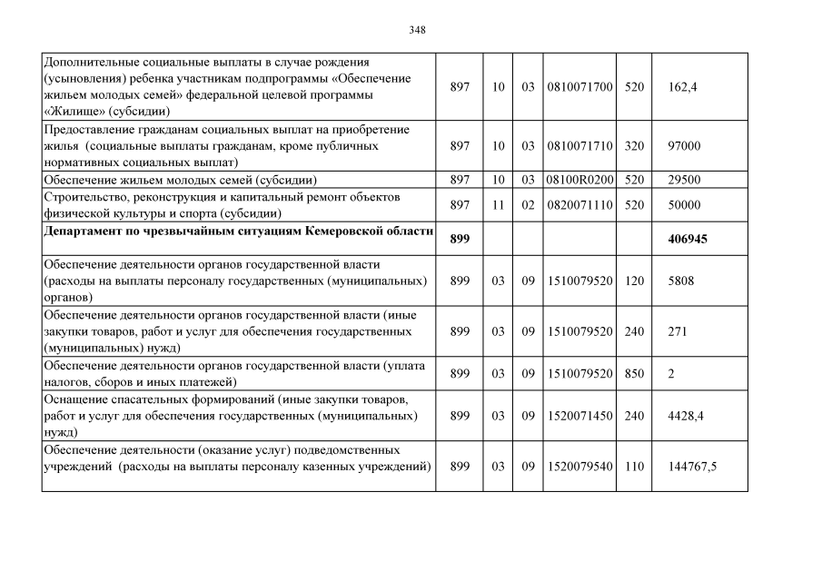
Закон Кемеровской области от 08.12.2015 № 113-ОЗ "Об областном бюджете на 2016 год"
Номер опубликования: 4200201512150001
Дата опубликования: 15.12.2015
Страница №348 из 467:
Увеличить