Официальное опубликование правовых актов
ОФИЦИАЛЬНОЕ ОПУБЛИКОВАНИЕ
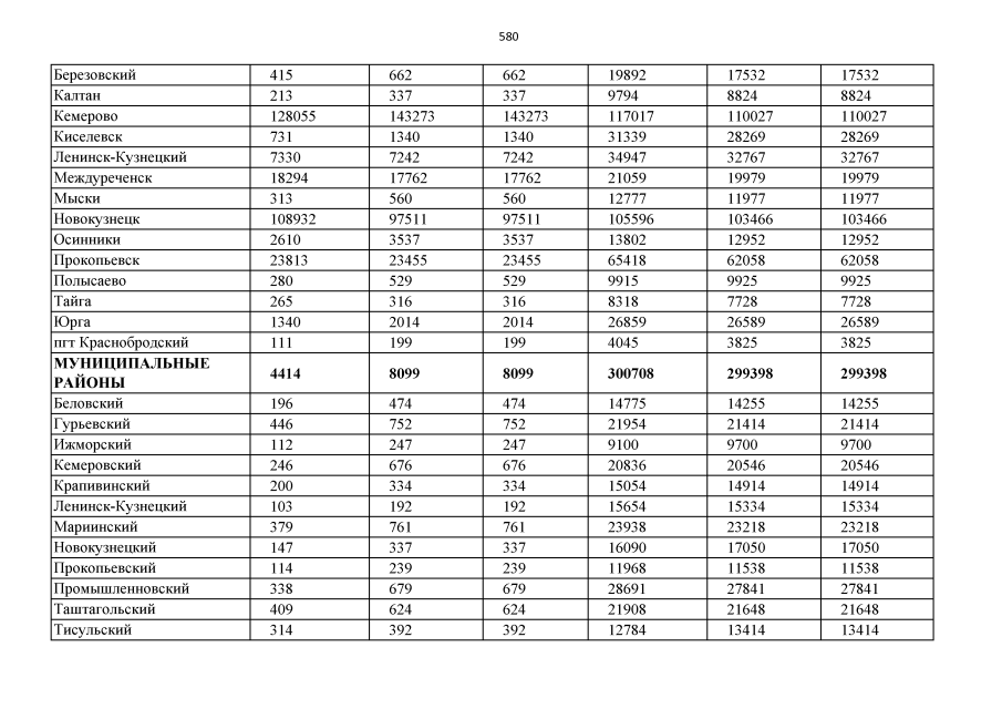
Закон Кемеровской области от 08.12.2015 № 112-ОЗ "О внесении изменений в Закон Кемеровской области "Об областном бюджете на 2015 год и на плановый период 2016 и 2017 годов"
Номер опубликования: 4200201512110003
Дата опубликования: 11.12.2015
Страница №580 из 658:
Увеличить