Официальное опубликование правовых актов
ОФИЦИАЛЬНОЕ ОПУБЛИКОВАНИЕ
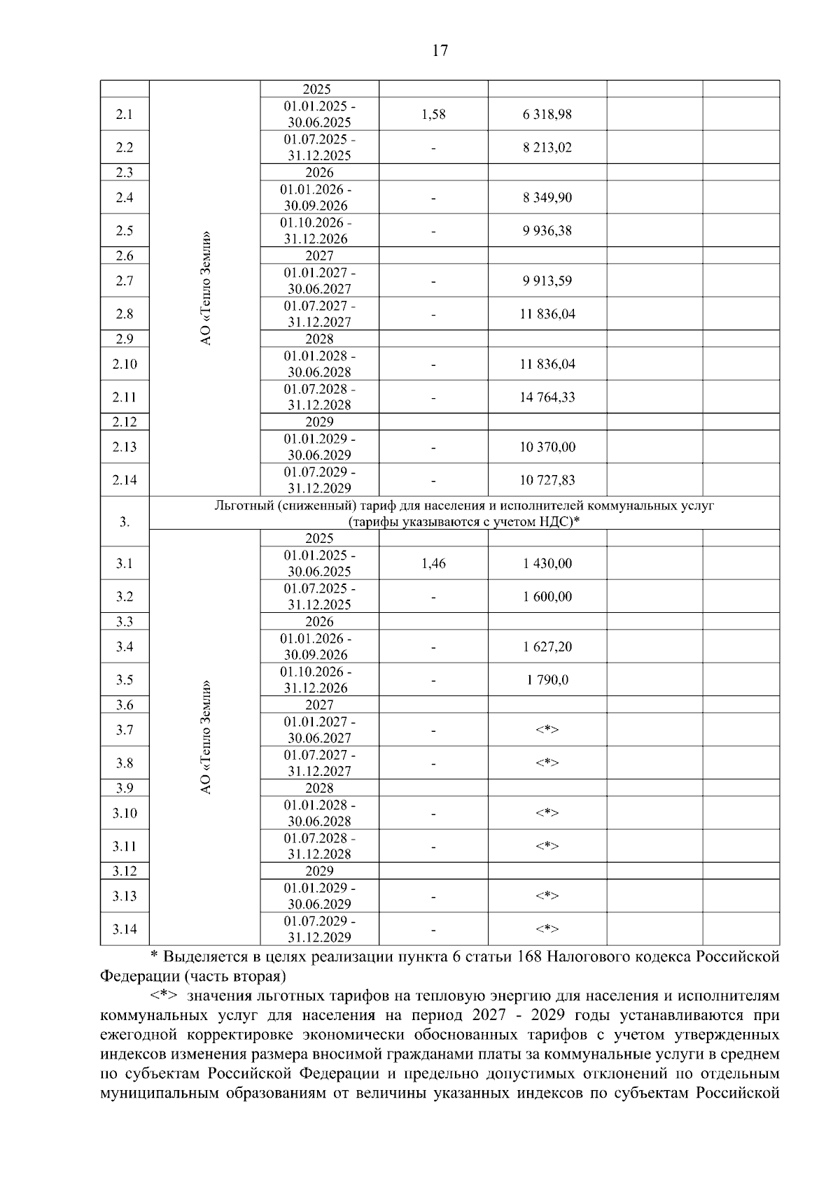
Постановление Региональной службы по тарифам и ценам Камчатского края от 17.12.2025 № 289-Н
"О внесении изменений в постановление Региональной службы по тарифам и ценам Камчатского края от 20.12.2024 № 408-Н "Об утверждении тарифов в сфере теплоснабжения АО "Тепло Земли" потребителям Камчатского края на 2025–2029 годы"
(Зарегистрирован 17.12.2025 № 289-Н)
Номер опубликования: 4101202512240025
Дата опубликования: 24.12.2025
Страница №17 из 24:
Увеличить