Официальное опубликование правовых актов
ОФИЦИАЛЬНОЕ ОПУБЛИКОВАНИЕ
Приказ Министерства имущественных и земельных отношений Камчатского края от 12.05.2025 № 33-Н
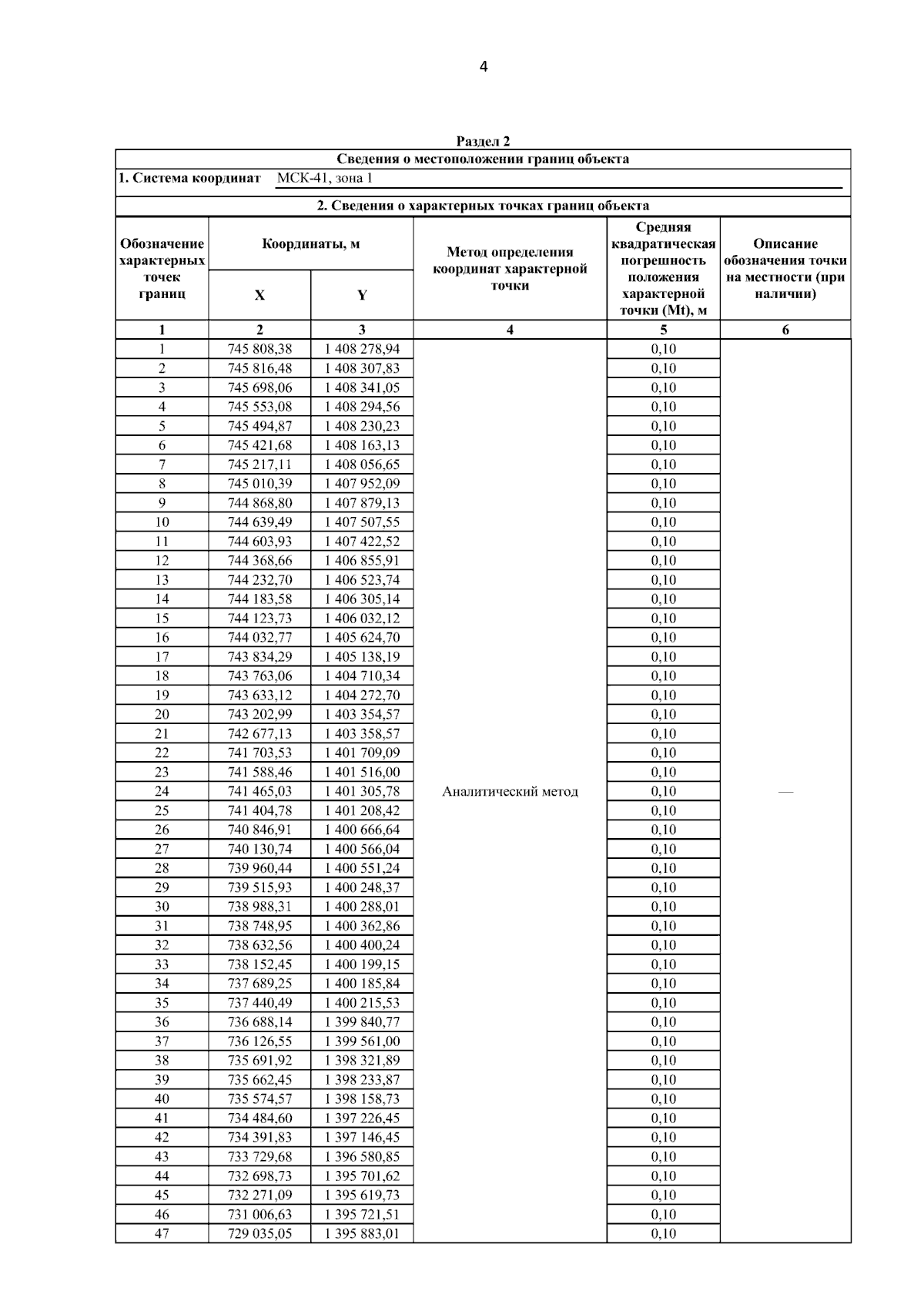
"О внесении изменений в приказ Министерства имущественных и земельных отношений Камчатского края от 20.02.2025 № 15-Н "Об установлении публичного сервитута в целях эксплуатации объекта электросетевого хозяйства "Сооружение ВЛЭП 35 кв" c кадастровым номером 41:06:0060101:512"
(Зарегистрирован 12.05.2025 № 33-Н)
Номер опубликования: 4101202505160005
Дата опубликования: 16.05.2025
Страница №4 из 29:
Увеличить