Официальное опубликование правовых актов
ОФИЦИАЛЬНОЕ ОПУБЛИКОВАНИЕ
Приказ Министерства жилищно-коммунального хозяйства и энергетики Камчатского края от 20.11.2024 № 45-Н
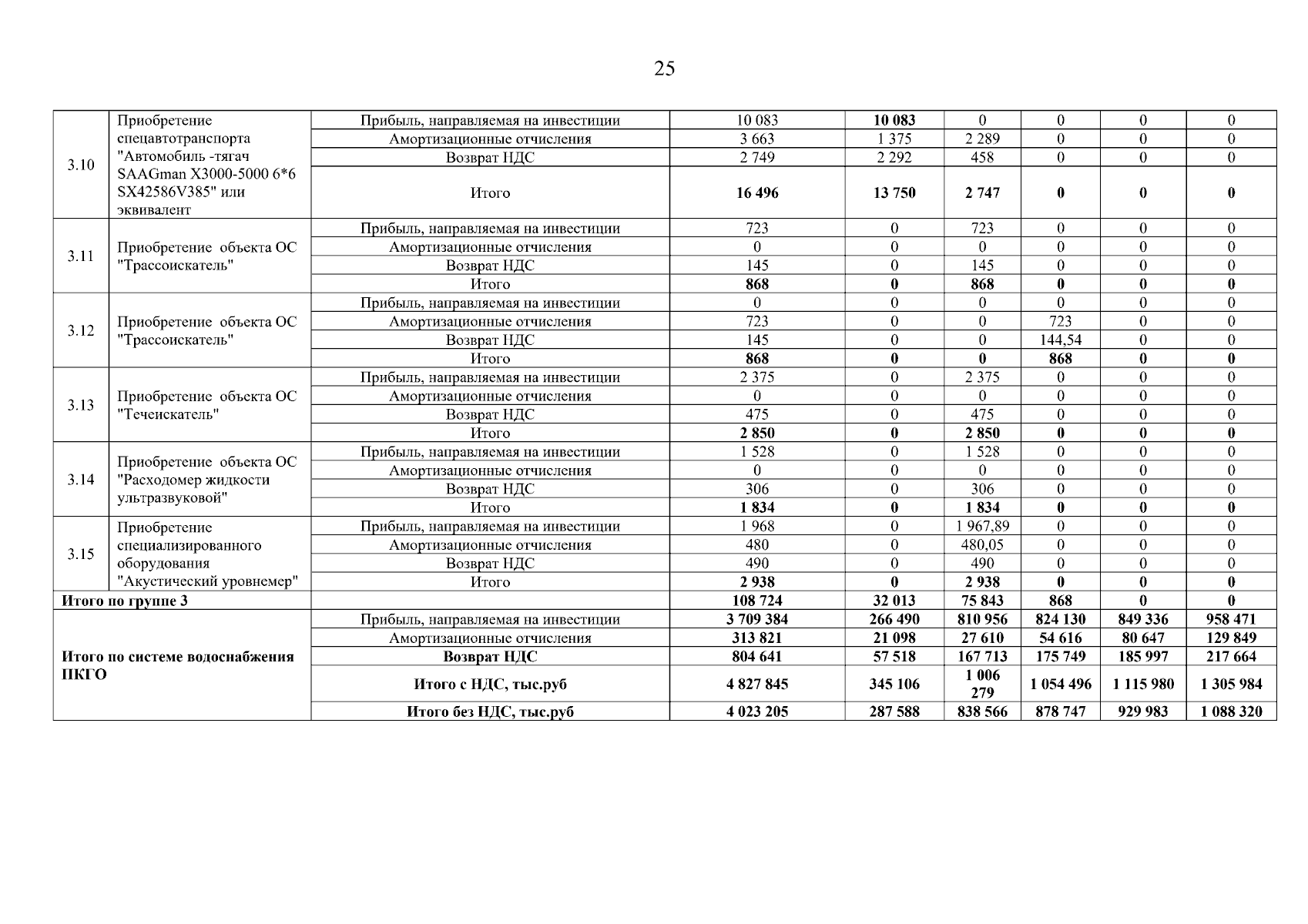
"О внесении изменений в приказ Министерства жилищно-коммунального хозяйства и энергетики Камчатского края от 30.10.2023 № 43-Н "Об утверждении инвестиционной программы КГУП "Камчатский водоканал" в сфере водоснабжения и водоотведения Петропавловск-Камчатского городского округа на 2024-2028 годы"
(Зарегистрирован 20.11.2024 № 45-Н)
Номер опубликования: 4101202411210009
Дата опубликования: 21.11.2024
Страница №25 из 76:
Увеличить