Официальное опубликование правовых актов
ОФИЦИАЛЬНОЕ ОПУБЛИКОВАНИЕ
Приказ Министерства жилищно-коммунального хозяйства и энергетики Камчатского края от 13.11.2024 № 36-Н
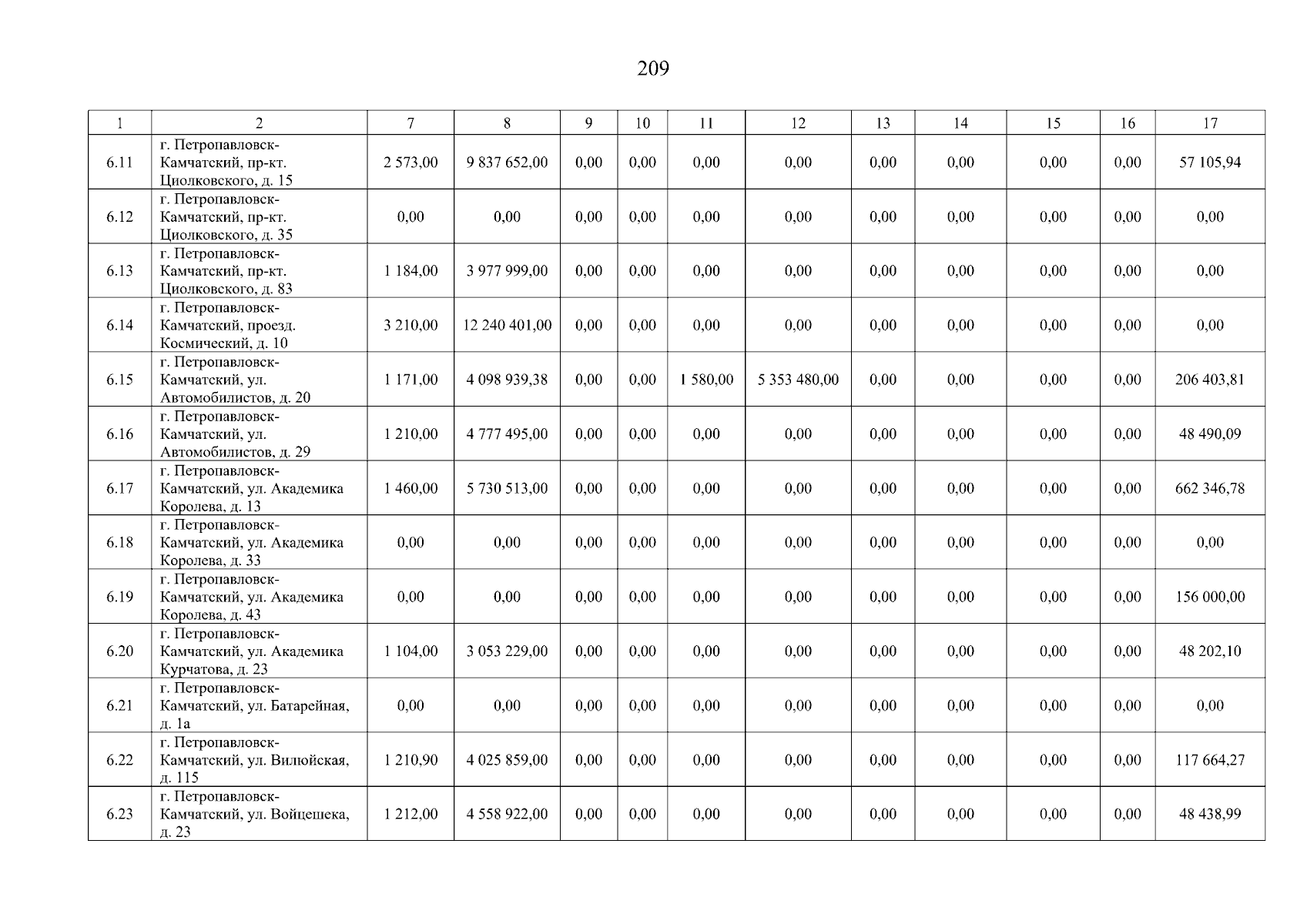
"О внесении изменений в приложения 1-3 к приказу Министерства жилищно-коммунального хозяйства и энергетики Камчатского края от 24.10.2016 № 636 "Об утверждении краткосрочного плана реализации региональной программы капитального ремонта общего имущества в многоквартирных домах в Камчатском крае на 2017-2019 годы"
(Зарегистрирован 13.11.2024 № 36-Н)
Номер опубликования: 4101202411130003
Дата опубликования: 13.11.2024
Страница №209 из 276:
Увеличить