Официальное опубликование правовых актов
ОФИЦИАЛЬНОЕ ОПУБЛИКОВАНИЕ
Приказ Министерства жилищно-коммунального хозяйства и энергетики Камчатского края от 28.10.2024 № 28-Н
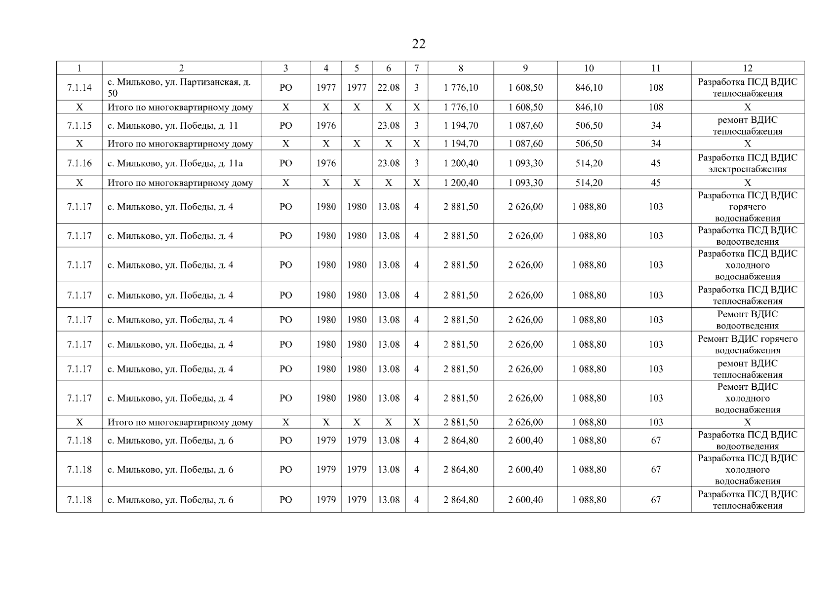
"О внесении изменений в приложения 1-2 к приказу Министерства жилищно-коммунального хозяйства и энергетики Камчатского края от 19.08.2022 № 20-304 "Об утверждении краткосрочного плана реализации региональной программы капитального ремонта общего имущества в многоквартирных домах в Камчатском крае на 2023-2025 годы"
(Зарегистрирован 28.10.2024 № 28-Н)
Номер опубликования: 4101202410300004
Дата опубликования: 30.10.2024
Страница №22 из 253:
Увеличить