Официальное опубликование правовых актов
ОФИЦИАЛЬНОЕ ОПУБЛИКОВАНИЕ
Приказ Министерства имущественных и земельных отношений Камчатского края от 10.09.2024 № 76-Н
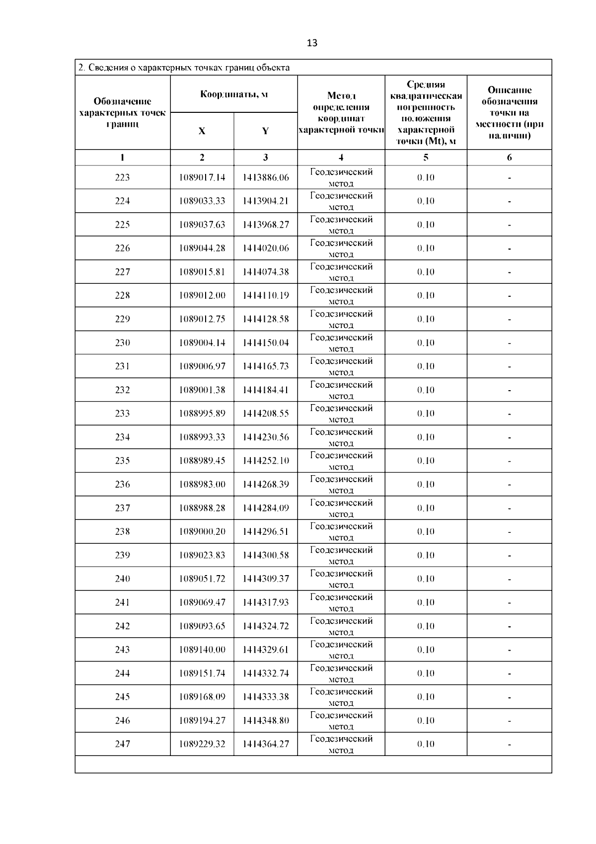
"О внесении изменений в приказ Министерства имущественных и земельных отношений Камчатского края от 15.01.2024 № 1-Н "Об установлении публичного сервитута в целях размещения линий и сооружений связи - волоконно-оптической линии связи (ВОЛС) "Тигиль-Воямполка-Палана"
(Зарегистрирован 10.09.2024 № 76-Н)
Номер опубликования: 4101202409110005
Дата опубликования: 11.09.2024
Страница №13 из 61:
Увеличить