Официальное опубликование правовых актов
ОФИЦИАЛЬНОЕ ОПУБЛИКОВАНИЕ
Постановление Правительства Камчатского края от 23.01.2026 № 14-П
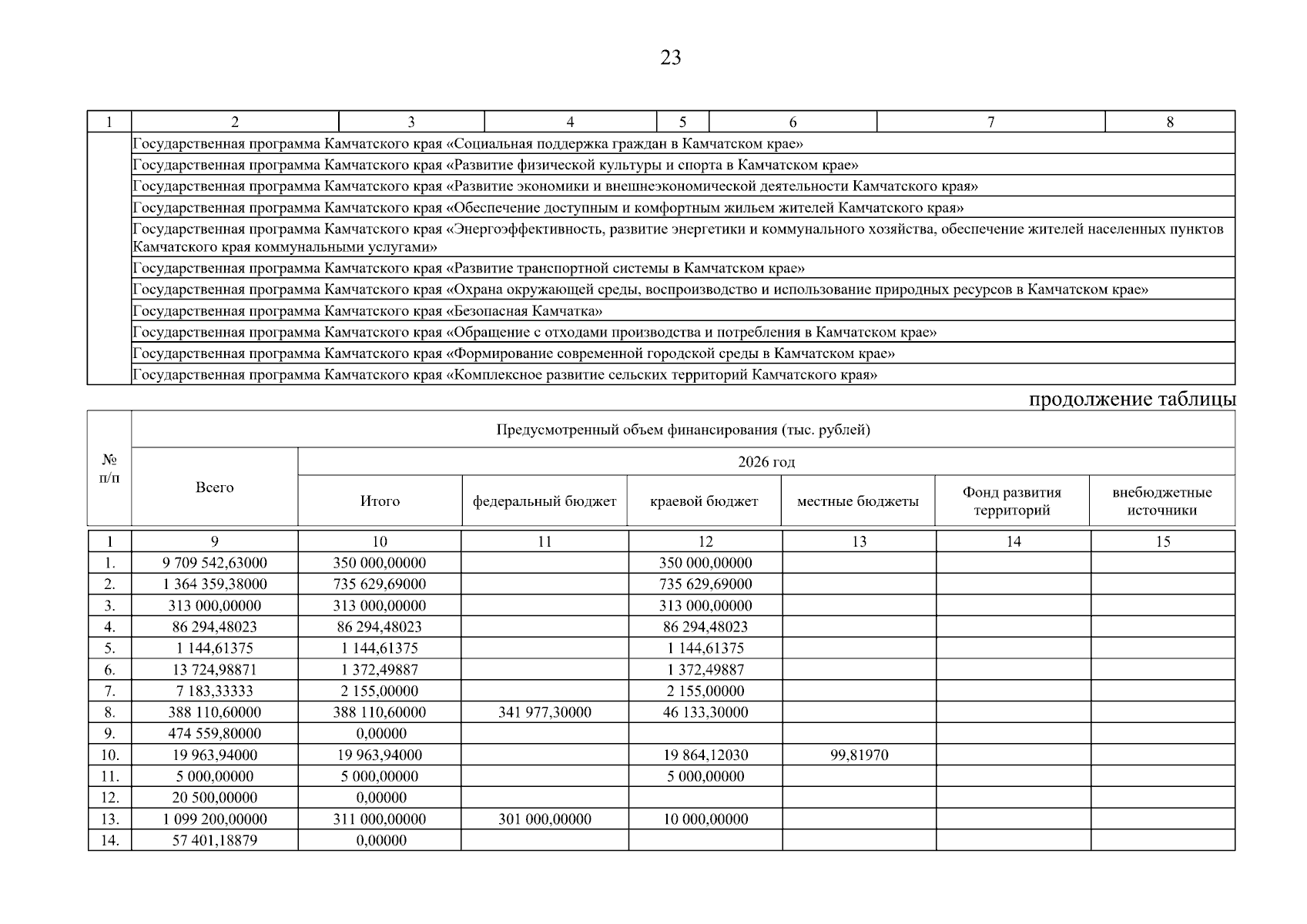
"О внесении изменения в приложение 1 к постановлению Правительства Камчатского края от 05.12.2025 № 524-П "Об утверждении инвестиционной программы Камчатского края на 2026 год, на плановый период 2027–2028 годов и прогнозный период 2029–2030 годов"
Номер опубликования: 4100202601230008
Дата опубликования: 23.01.2026
Страница №23 из 63:
Увеличить