Официальное опубликование правовых актов
ОФИЦИАЛЬНОЕ ОПУБЛИКОВАНИЕ
Постановление Правительства Камчатского края от 06.08.2024 № 375-П
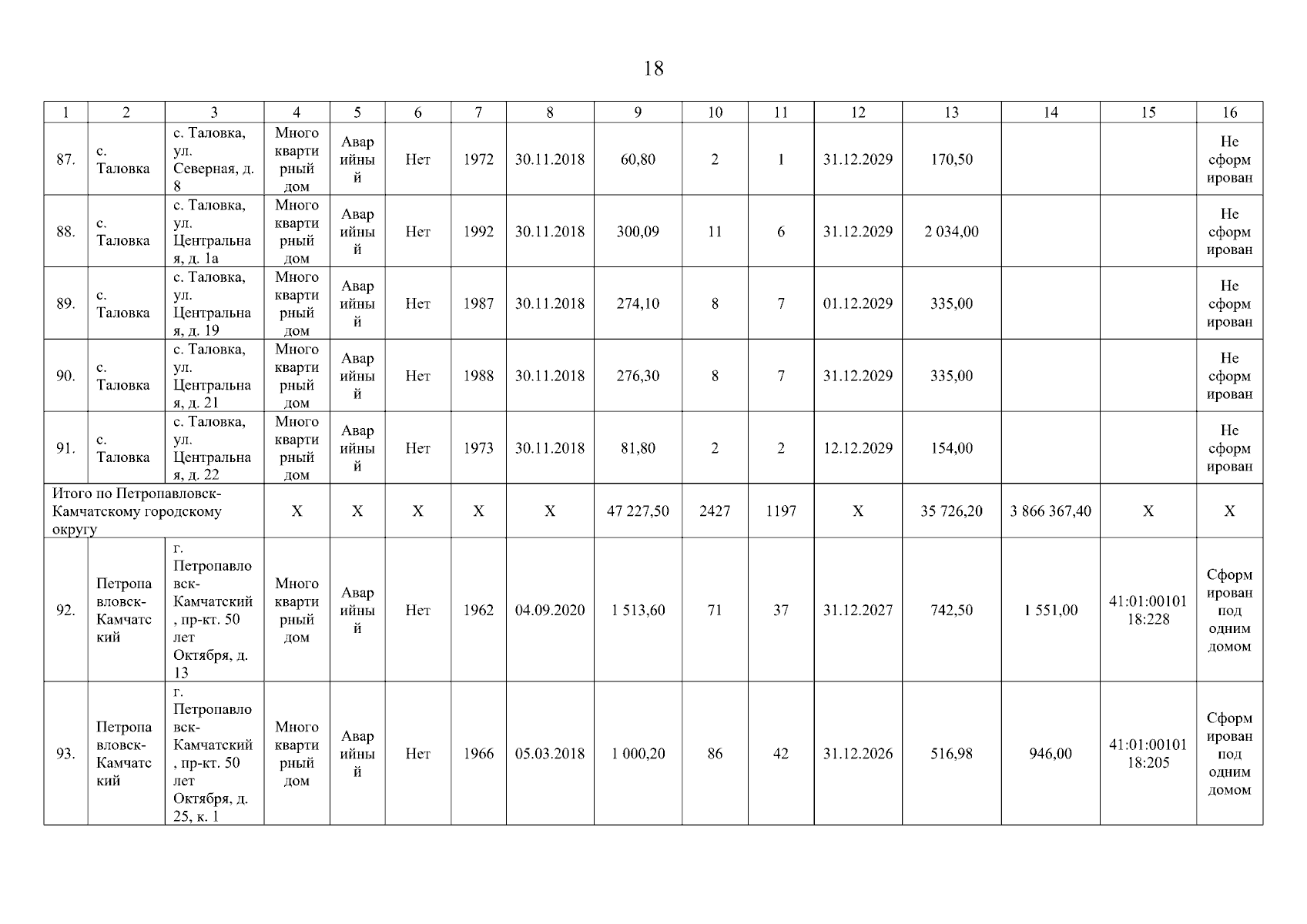
"О внесении изменений в постановление Правительства Камчатского края от 17.05.2023 № 271-П "Об утверждении региональной адресной программы "Переселение граждан из аварийного жилищного фонда на территории Камчатского края"
Номер опубликования: 4100202408060002
Дата опубликования: 06.08.2024
Страница №18 из 87:
Увеличить