Официальное опубликование правовых актов
ОФИЦИАЛЬНОЕ ОПУБЛИКОВАНИЕ
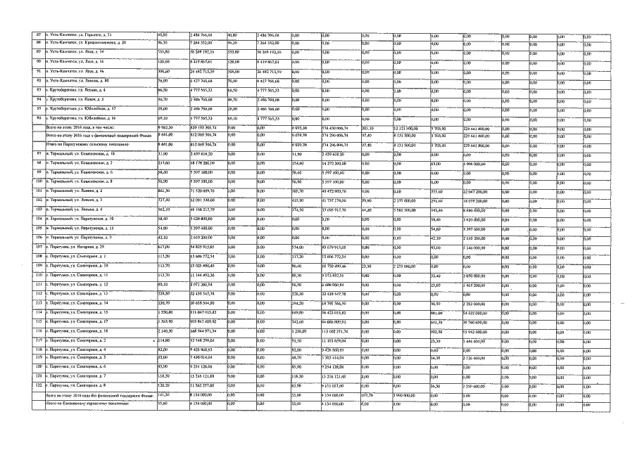
Постановление Правительства Камчатского края от 22.12.2016 № 510-П
"О внесении изменений в постановление Правительства Камчатского края от 22.11.2013 № 520-П "Об утверждении государственной программы Камчатского края "Обеспечение доступным и комфортным жильём жителей Камчатского края на 2014-2018 годы"
Номер опубликования: 4100201612290003
Дата опубликования: 29.12.2016
Страница №77 из 112:
Увеличить