Официальное опубликование правовых актов
ОФИЦИАЛЬНОЕ ОПУБЛИКОВАНИЕ
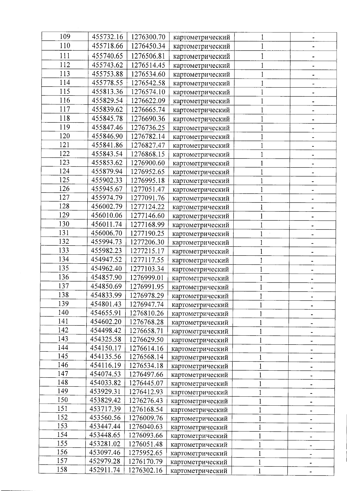
Приказ Министерства природных ресурсов и экологии Калужской области от 09.12.2025 № 1218-25
"Об особо охраняемой природной территории регионального значения – памятнике природы "Лесной массив "Галкинский лес"
(Зарегистрирован 25.12.2025 № 16127)
Номер опубликования: 4001202512290005
Дата опубликования: 29.12.2025
Страница №5 из 15:
Увеличить