Официальное опубликование правовых актов
ОФИЦИАЛЬНОЕ ОПУБЛИКОВАНИЕ
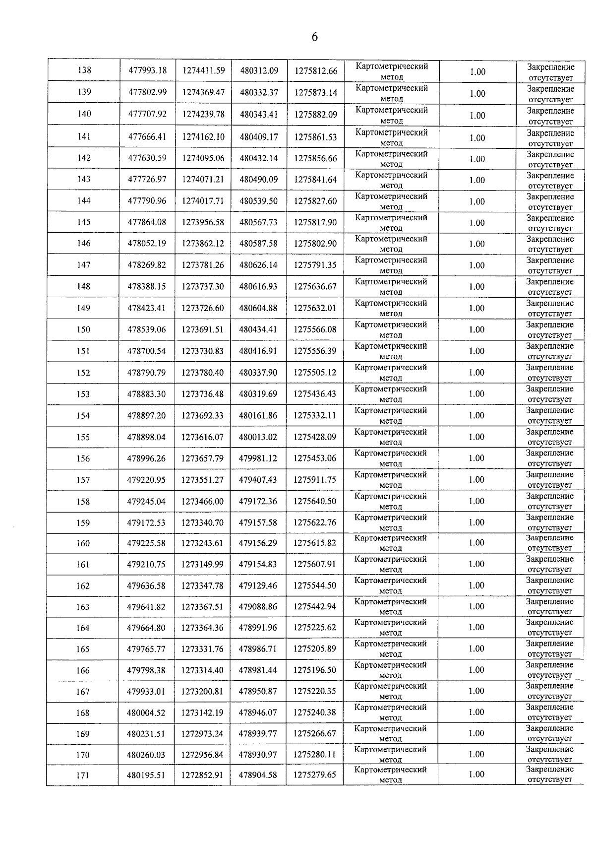
Постановление Правительства Калужской области от 17.04.2026 № 194
"О регулировании отдельных правоотношений, возникших в связи с подготовкой проекта генерального плана Медынского муниципального округа Калужской области"
Номер опубликования: 4000202604210006
Дата опубликования: 21.04.2026
Страница №7 из 14:
Увеличить