Официальное опубликование правовых актов
ОФИЦИАЛЬНОЕ ОПУБЛИКОВАНИЕ
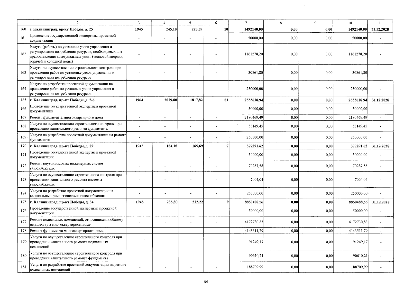
Приказ Министерства строительства и жилищно-коммунального хозяйства Калининградской области от 03.04.2026 № 20
"Об утверждении краткосрочного плана реализации на 2027-2029 годы региональной программы капитального ремонта общего имущества в многоквартирных домах, расположенных на территории Калининградской области"
(Зарегистрирован 03.04.2026 № ГР/238/2026)
Номер опубликования: 3901202604060002
Дата опубликования: 06.04.2026
Страница №65 из 223:
Увеличить