Официальное опубликование правовых актов
ОФИЦИАЛЬНОЕ ОПУБЛИКОВАНИЕ
Приказ Министерства градостроительной политики Калининградской области от 05.03.2026 № 111
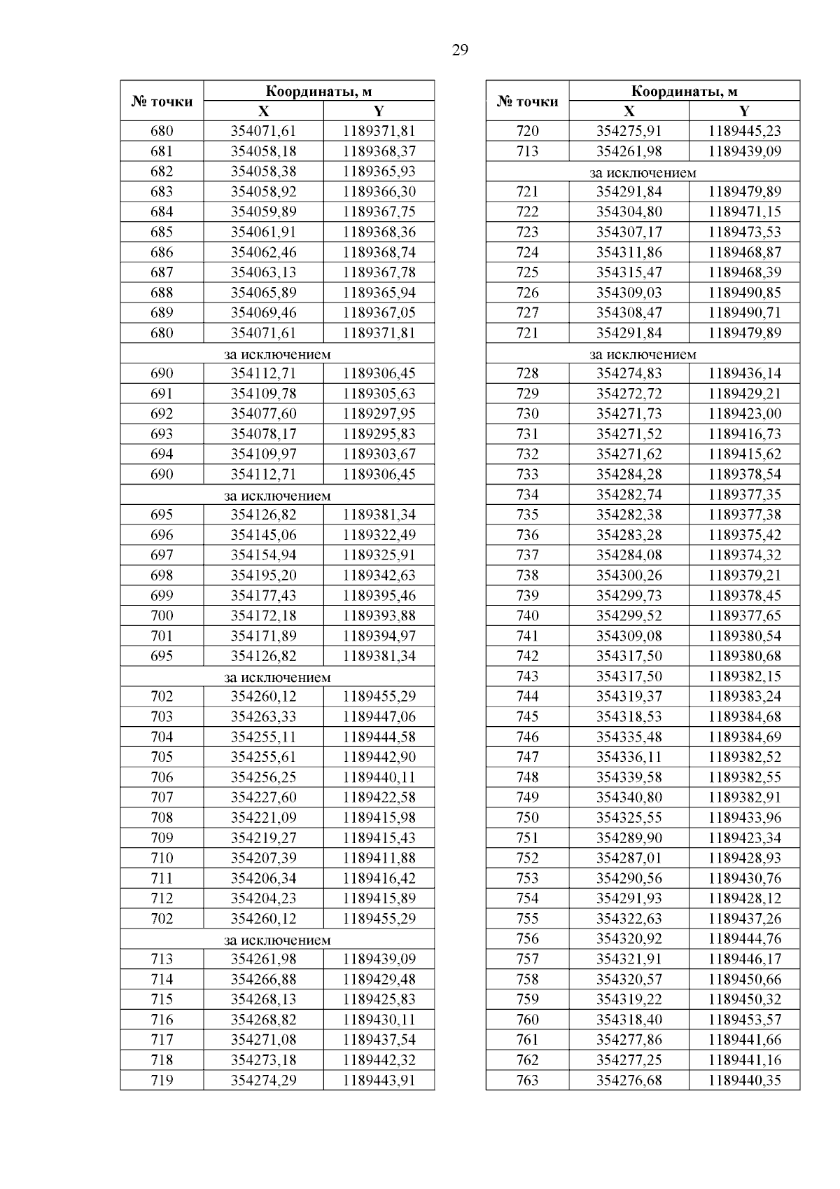
"Об утверждении проекта планировки территории с проектом межевания в его составе, предусматривающего размещение линейного объекта местного значения "Реконструкция Эстакадного моста" на участке улично-дорожной сети от пр-кта Московского до ул. Портовой в г. Калининграде"
(Зарегистрирован 06.03.2026 № ГР/167/2026)
Номер опубликования: 3901202603060001
Дата опубликования: 06.03.2026
Страница №31 из 72:
Увеличить