Официальное опубликование правовых актов
ОФИЦИАЛЬНОЕ ОПУБЛИКОВАНИЕ
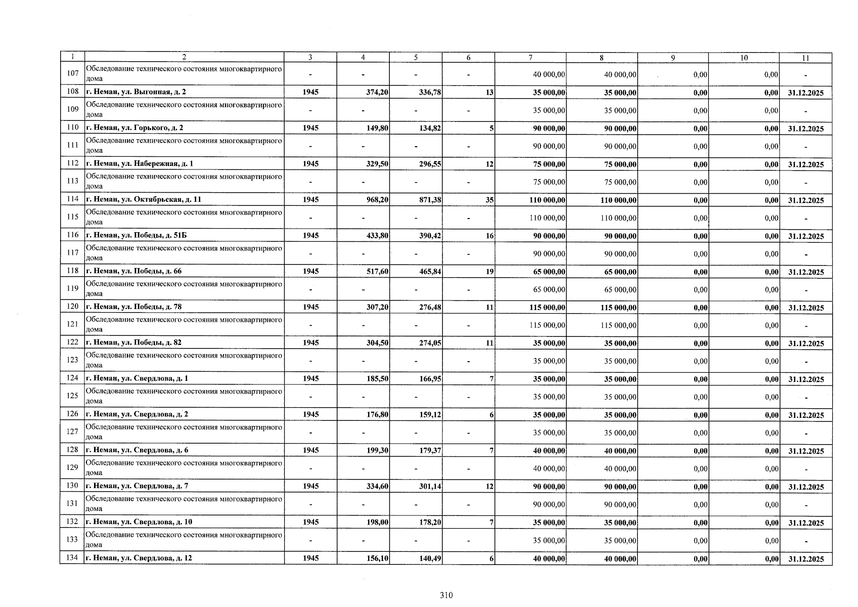
Приказ Министерства строительства и жилищно-коммунального хозяйства Калининградской области от 27.02.2026 № 12
"О внесении изменений в краткосрочный план реализации на 2024 – 2026 годы региональной программы капитального ремонта общего имущества в многоквартирных домах, расположенных на территории Калининградской области"
(Зарегистрирован 27.02.2026 № ГР/153/2026)
Номер опубликования: 3901202603030005
Дата опубликования: 03.03.2026
Страница №312 из 318:
Увеличить