Официальное опубликование правовых актов
ОФИЦИАЛЬНОЕ ОПУБЛИКОВАНИЕ
Приказ Министерства природных ресурсов и экологии Калининградской области от 26.01.2026 № 14
"О внесении изменения в приказ Министерства природных ресурсов и экологии Калининградской области от 22 мая 2020 года № 170"
(Зарегистрирован 29.01.2026 № ГР/58/2026)
Номер опубликования: 3901202602020003
Дата опубликования: 02.02.2026
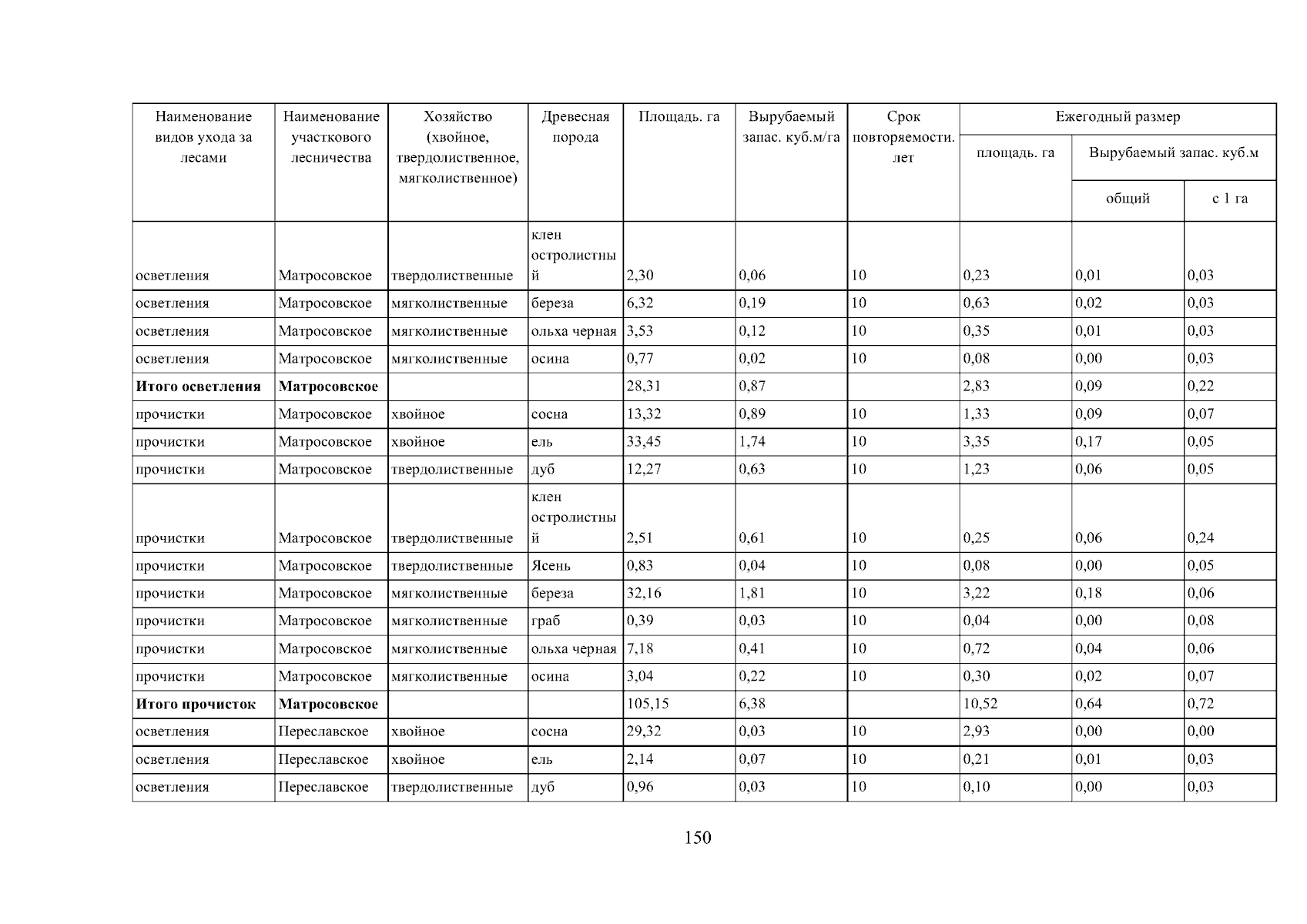
Страница №150 из 168:
Увеличить