Официальное опубликование правовых актов
ОФИЦИАЛЬНОЕ ОПУБЛИКОВАНИЕ
Приказ Службы по государственному регулированию цен и тарифов Калининградской области от 19.12.2025 № 107-06т/25
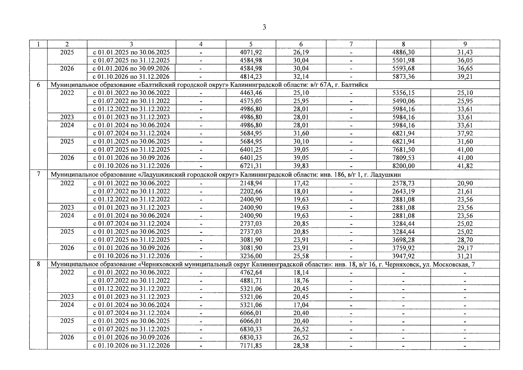
"О внесении изменений в приказ Службы по государственному регулированию цен и тарифов Калининградской области от 20 декабря 2021 года № 79-03т/21 "Об установлении тарифов на горячую воду в закрытой системе горячего водоснабжения для потребителей ФГБУ "ЦЖКУ" Минобороны России, филиал ФГБУ "ЦЖКУ" Минобороны России (по ВМФ) на территории Калининградской области на 2022-2026 годы"
(Зарегистрирован 24.12.2025 № ГР/1060/2025)
Номер опубликования: 3901202512250080
Дата опубликования: 25.12.2025
Страница №5 из 6:
Увеличить