Официальное опубликование правовых актов
ОФИЦИАЛЬНОЕ ОПУБЛИКОВАНИЕ
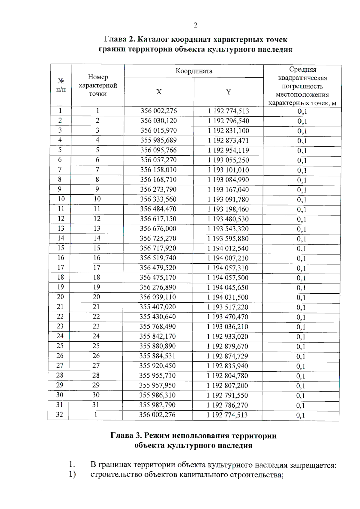
Приказ Службы государственной охраны объектов культурного наследия Калининградской области от 05.11.2025 № 402
"Об утверждении границ территории объекта культурного наследия регионального значения "Комплекс сооружений аэродрома "Девау", 1922 год, Калининградская область, город Калининград, улица Пригородная, 4, 6, 8, 10, 12, 14, 16"
(Зарегистрирован 07.11.2025 № ГР/797/2025)
Номер опубликования: 3901202511100010
Дата опубликования: 10.11.2025
Страница №4 из 5:
Увеличить