Официальное опубликование правовых актов
ОФИЦИАЛЬНОЕ ОПУБЛИКОВАНИЕ
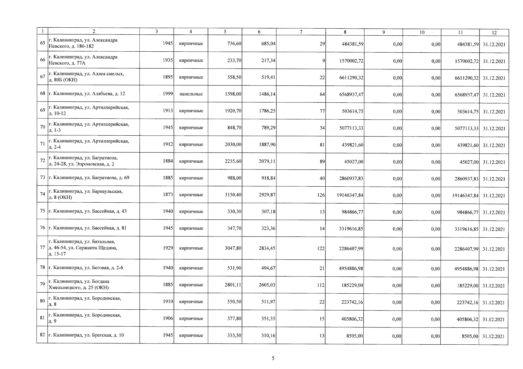
Приказ Министерства строительства и жилищно-коммунального хозяйства Калининградской области от 02.09.2025 № 74
"О внесении изменений в краткосрочный план реализации на 2021 – 2023 годы региональной программы капитального ремонта общего имущества в многоквартирных домах, расположенных на территории Калининградской области"
(Зарегистрирован 02.09.2025 № ГР/616/2025)
Номер опубликования: 3901202509040005
Дата опубликования: 04.09.2025
Страница №7 из 140:
Увеличить