Официальное опубликование правовых актов
ОФИЦИАЛЬНОЕ ОПУБЛИКОВАНИЕ
Приказ Министерства градостроительной политики Калининградской области от 04.08.2025 № 255
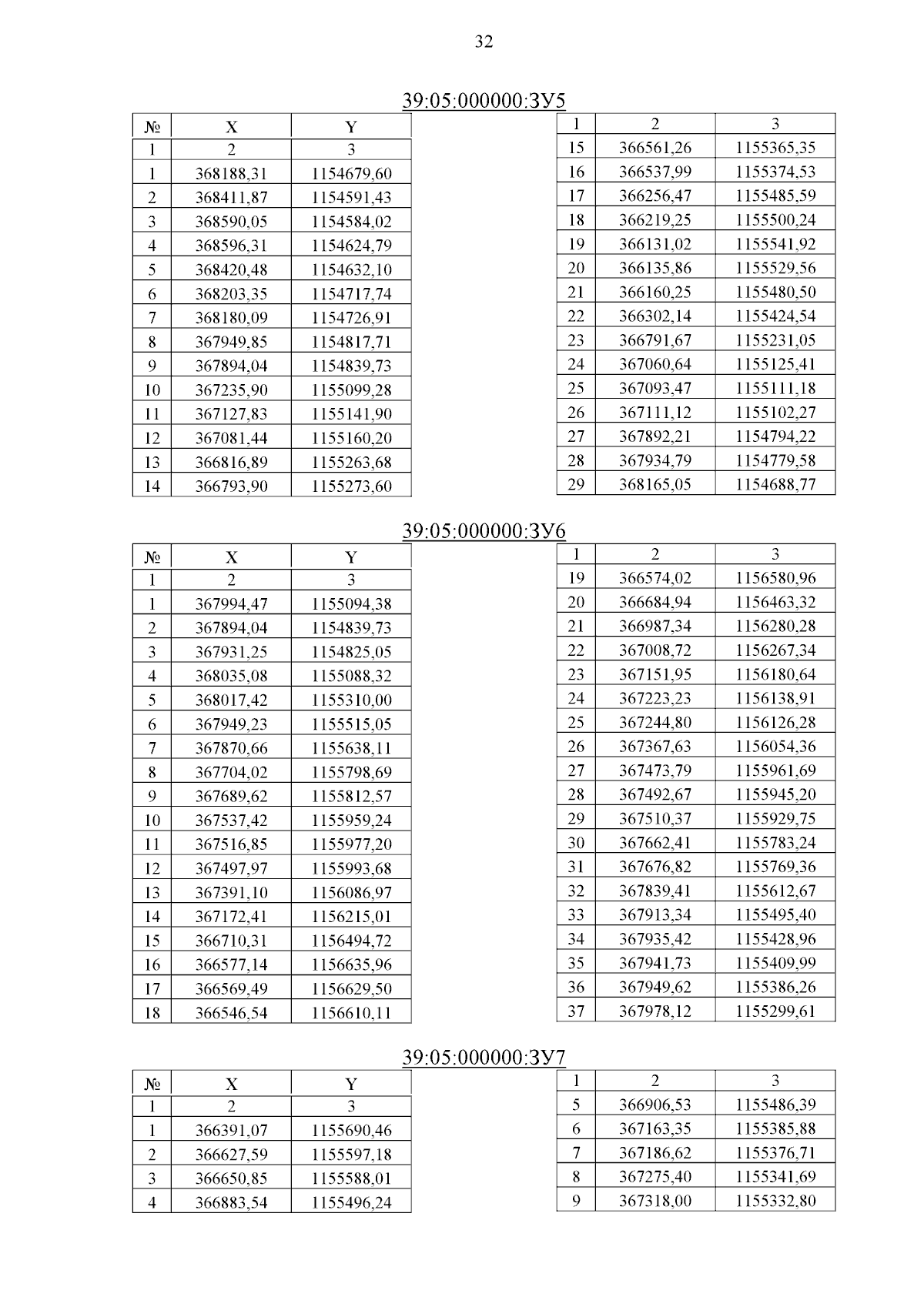
"Об утверждении проекта планировки территории с проектом межевания в его составе в целях реализации инвестиционного проекта "Развитие интегрированного курорта "Белая дюна" на территории Калининградской области" в п. Поваровка муниципального образования "Зеленоградский муниципальный округ Калининградской области"
(Зарегистрирован 06.08.2025 № ГР/561/2025)
Номер опубликования: 3901202508070016
Дата опубликования: 07.08.2025
Страница №34 из 41:
Увеличить