Официальное опубликование правовых актов
ОФИЦИАЛЬНОЕ ОПУБЛИКОВАНИЕ
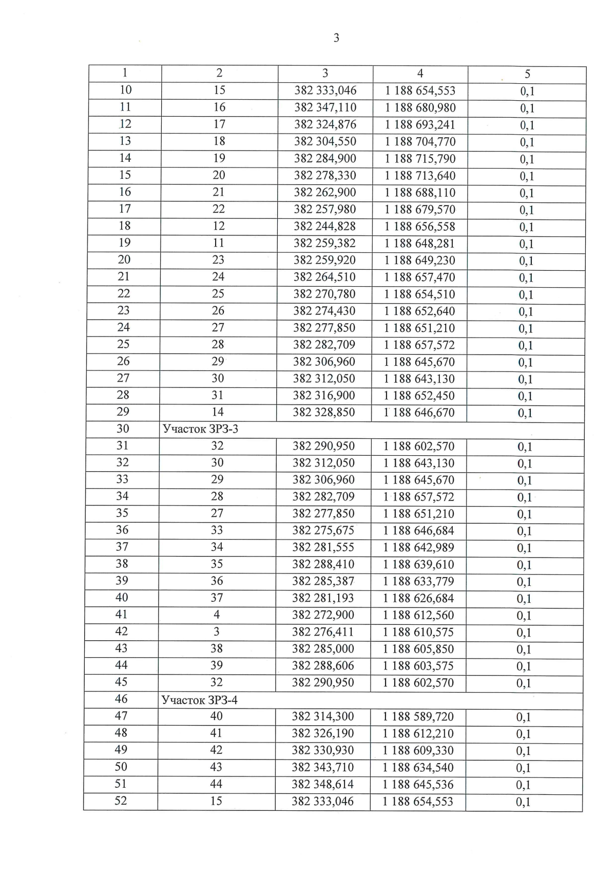
Приказ Службы государственной охраны объектов культурного наследия Калининградской области от 05.08.2025 № 285
"Об установлении зоны охраны объекта культурного наследия местного (муниципального) значения "Здание больницы", 1904 год, Калининградская область, город Зеленоградск, улица Лермонтова, 4, и об утверждении требований к градостроительным регламентам в границах территории данных зон"
(Зарегистрирован 06.08.2025 № ГР/559/2025)
Номер опубликования: 3901202508070003
Дата опубликования: 07.08.2025
Страница №5 из 10:
Увеличить