Официальное опубликование правовых актов
ОФИЦИАЛЬНОЕ ОПУБЛИКОВАНИЕ
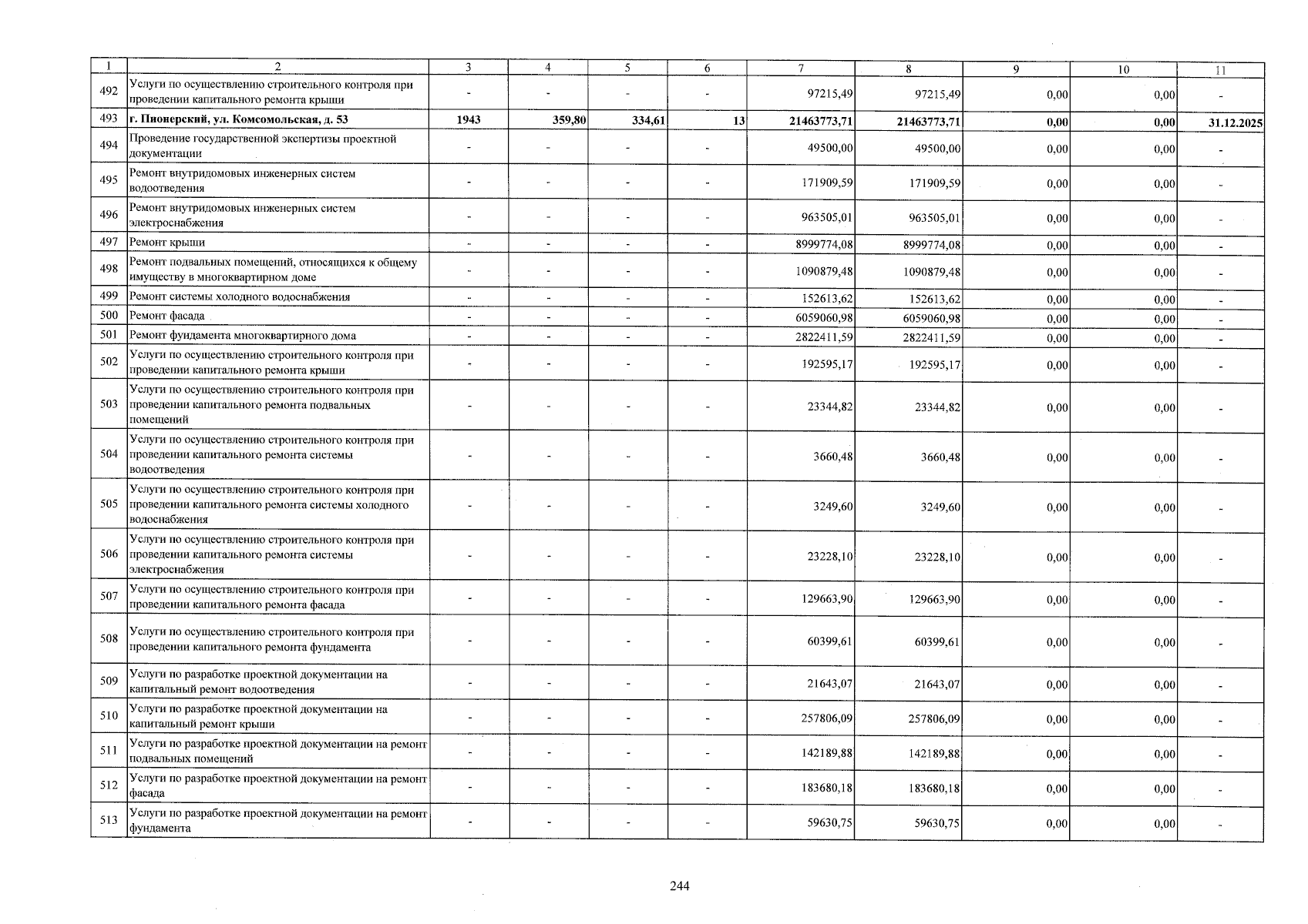
Приказ Министерства строительства и жилищно-коммунального хозяйства Калининградской области от 17.02.2025 № 10
"О внесении изменений в краткосрочный план реализации на 2024 – 2026 годы региональной программы капитального ремонта общего имущества в многоквартирных домах, расположенных на территории Калининградской области"
(Зарегистрирован 17.02.2025 № ГР/109/2025)
Номер опубликования: 3901202502180004
Дата опубликования: 18.02.2025
Страница №246 из 274:
Увеличить