Официальное опубликование правовых актов
ОФИЦИАЛЬНОЕ ОПУБЛИКОВАНИЕ
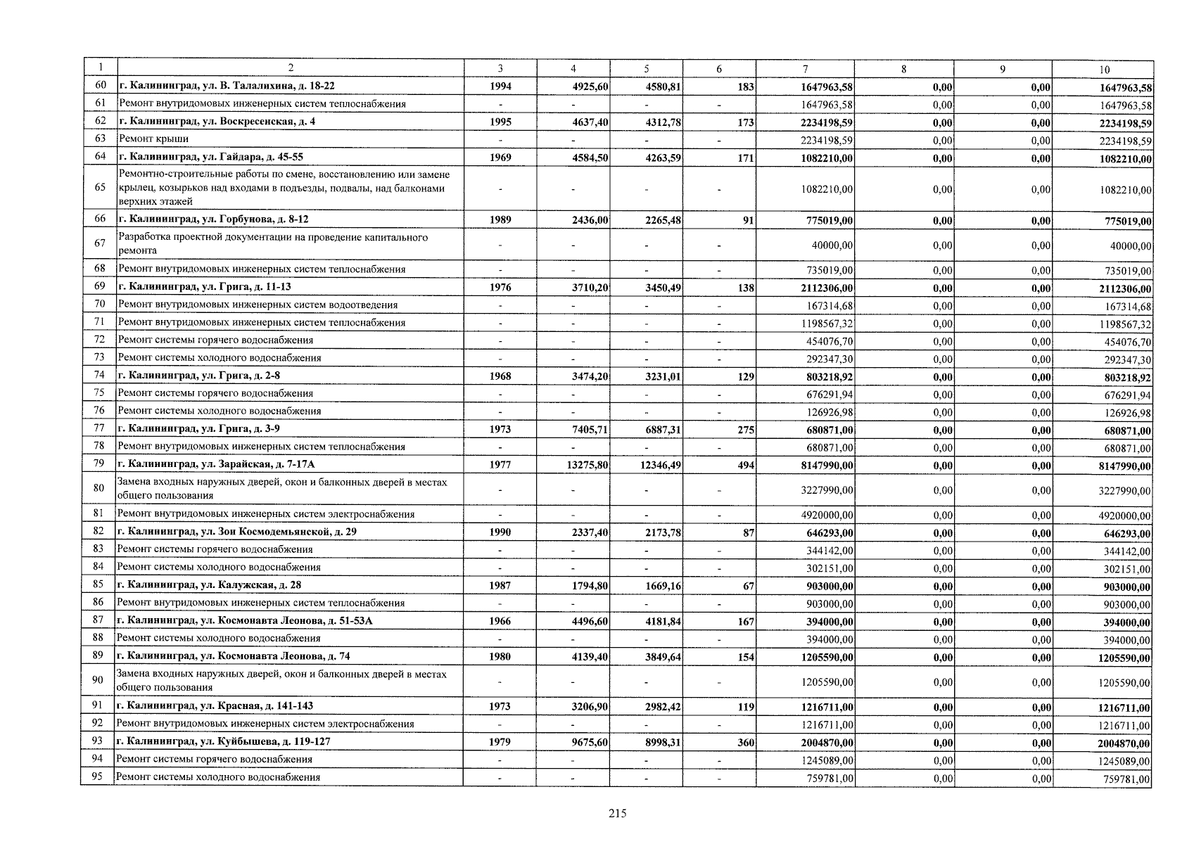
Приказ Министерства строительства и жилищно-коммунального хозяйства Калининградской области от 25.12.2024 № 116
"О внесении изменений в краткосрочный план реализации на 2024 – 2026 годы региональной программы капитального ремонта общего имущества в многоквартирных домах, расположенных на территории Калининградской области"
(Зарегистрирован 25.12.2024 № ГР/1186/2024)
Номер опубликования: 3901202412260009
Дата опубликования: 26.12.2024
Страница №217 из 265:
Увеличить