Официальное опубликование правовых актов
ОФИЦИАЛЬНОЕ ОПУБЛИКОВАНИЕ
Приказ Министерства градостроительной политики Калининградской области от 19.12.2024 № 473
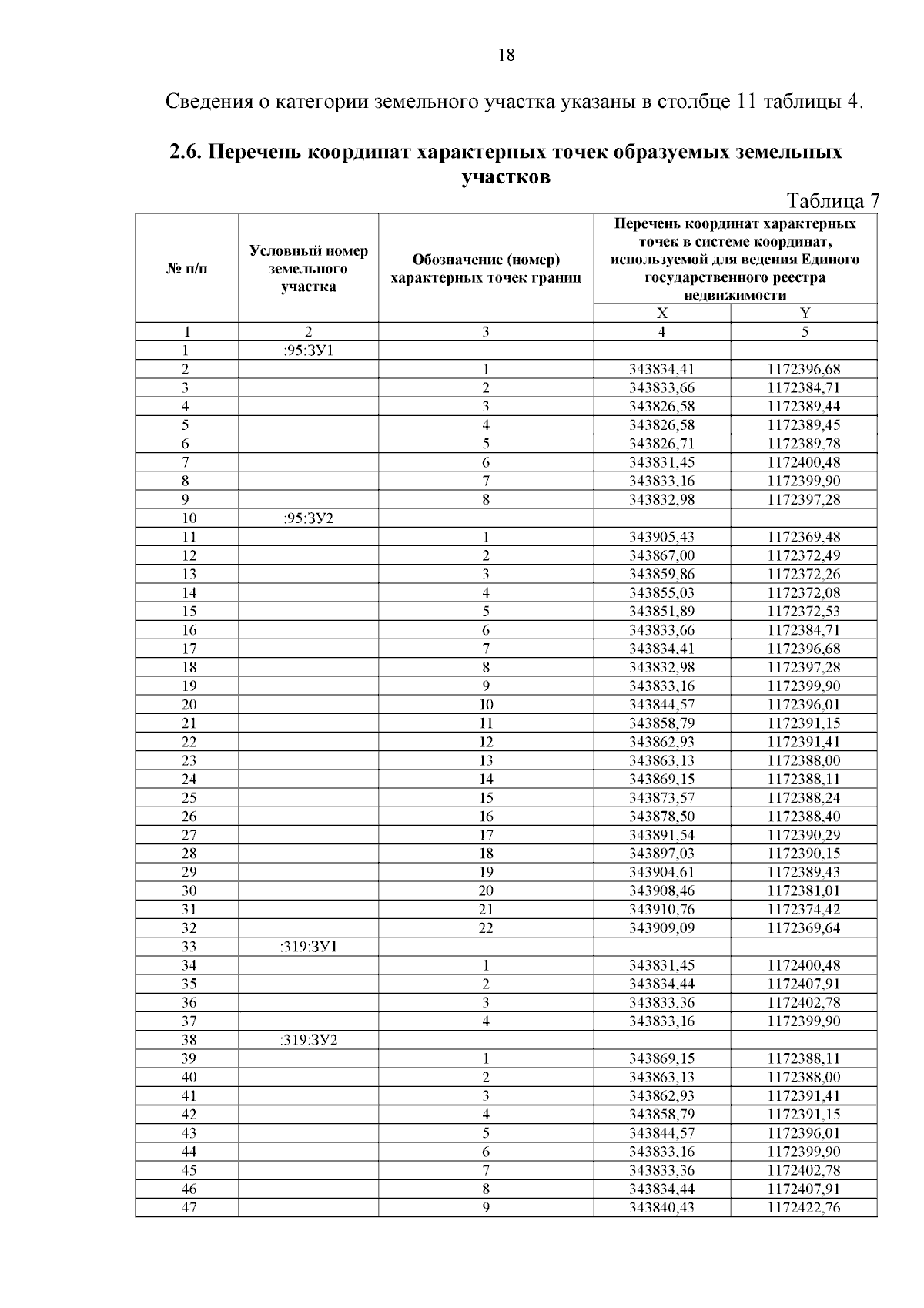
"Об утверждении проекта планировки территории с проектом межевания в его составе, предусматривающего размещение линейного объекта регионального значения "Реконструкция автомобильной дороги "Калининград - Мамоново" с км 20+300 по км 21+400"
(Зарегистрирован 19.12.2024 № ГР/1072/2024)
Номер опубликования: 3901202412230004
Дата опубликования: 23.12.2024
Страница №20 из 31:
Увеличить